2.已知

正确答案
4. 函数

正确答案
6. 已知空间中不过同一点的三条直线


正确答案
8.已知点






正确答案
9.已知


正确答案
正确答案
1.已知集合

正确答案
3.若实数x,y满足约束条件

正确答案
5. 某几何体的三视图(单位:

正确答案
7.已知等差数列





正确答案
13.已知


正确答案
14.已知圆锥展开图的侧面积为2π,且为半圆,则底面半径为______.
正确答案
1
15.设直线l:y=kx+b(k>0),圆





正确答案
16.一个盒子里有 1个红 1个绿 2个黄四个相同的球,每次拿一个,不放回,拿出红球即停,设拿出黄球的个数为


正确答案
11.已知数列


正确答案
10
12.设


正确答案
80,122
17.设







正确答案
20.(本题满分15分)
已知

(I)若数列




(Ⅱ)若数列

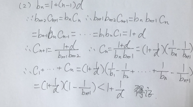
正确答案
18.(本题满分14分)
正确答案
19(本题满分15分)
如图,三棱台




(Ⅰ)证明:
(Ⅱ)求

(第19题图)
正确答案
22.(本题满分 15 分)
已知


(Ⅰ)证明:函数

(Ⅱ)记 


(i)
(ⅱ) 
正确答案
21.(15分)
如图,已知椭圆












(I)若

(Ⅱ)若存在不过原点的直线

























































