已知集合


正确答案
解析
这道题主要考查了集合的并集运算这个知识点,并集就是把两个集合中的所有元素合并在一起组成的集合。
并集,由题意得
已知

正确答案
解析
这道题主要考查了复数的运算知识点。在复数中,我们要掌握复数的乘法、除法等运算规则。
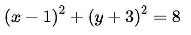
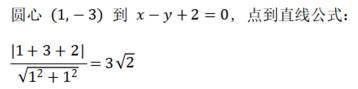
求圆

正确答案
解析
这道题主要考查了圆的一般方程转化为标准方程来确定圆心坐标,以及点到直线距离公式的运用。



正确答案
解析
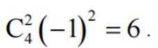
这道题主要考查了二项式定理的知识点
由题意展开二项式可得:
令
故所求答案为
故选B.
已知向量




正确答案
解析
这道题主要考查了向量的数量积运算、向量模的计算以及充分条件、必要条件的判断等知识点。

已知




正确答案
解析
这道题主要考查了正弦函数的性质以及周期的计算。涉及到正弦函数的最值,还有通过给定条件求出函数的周期,进而利用周期公式求出参数的值。比如知道正弦函数在什么情况下取得最值,以及周期与角频率之间的关系等知识点。
半周期
记水的质量为




正确答案
解析
这道题主要考查了对数的运算以及函数单调性的应用等知识点。通过已知条件建立等式,然后利用对数的性质来分析得出结论。
根据题意分析得
若S>1,则

若S=1,则
若S<1,则

已知以边长为4的正方形为底面的四棱锥,四条侧棱分别为4,4,

正确答案
解析
这道题主要考查了立体几何中的线面垂直、面面垂直的判定与性质,勾股定理及其逆定理,以及四棱锥高的求解等知识点。

已


正确答案
解析
这道题主要考查了指数函数的性质以及对数函数的性质,还有对函数图象上不同点之间关系的理解。同时还涉及到一些不等式的知识。


故选A.
若集合

正确答案
解析
这道题主要考查了集合的概念、二次函数的性质、不等式的应用以及平面区域的理解。通过分析集合中元素的特征,结合二次函数的取值范围,确定出所表示的图形为一个平面区域,然后利用平面几何的知识来计算两点间的最大距离和图形的面积。
结合图形分析求解即可.
故选C.
已知抛物线
正确答案
(4,0)
解析
这道题主要考查了抛物线的标准方程以及焦点坐标的相关知识点。
本题考查抛物线的焦点坐标的相关知识,
标准抛物线
代入
已知

正确答案
解析
这道题主要考查了以下知识点:一是终边对称的两个角之间的关系;二是余弦函数在给定区间内的值域;三是利用已知条件进行转化和推理。
本题结合三角函数单调性即可求解最值.

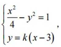
已知双曲线

正确答案
解析
这道题主要考查了双曲线的性质、直线与双曲线的位置关系,还涉及到一元二次方程根的判别式等知识点。
联立x=3,
设所求直线斜率为K,则过点(3,0)的直线为y=k(x-3)联立




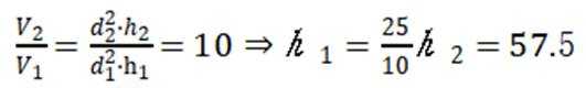
已知三个圆柱的体积为公比为10的等比数列.第一个圆柱的直径为65mm,第二、三个圆柱的直径为325mm,第三个圆柱的高为230mm,求前两个圆柱的高度分别为________.
正确答案
解析
这道题主要考查了等比数列的概念,以及圆柱体积的计算。需要知道圆柱体积等于底面积乘以高,同时要能根据已知条件建立方程来求解问题。

又因为
故答案为
已知


①
②
③

④

正确答案
①③④
解析
这道题主要考查了等差数列、等比数列的性质,以及函数图象、方程解的个数等知识点。通过分析不同数列的特点以及它们之间的关系,来判断集合 M 中元素的个数情况。同时还运用了反证法等数学方法。
解析M代表大小相同的序号
② 
③易证最为三元素相等,构造

④作散点图a
故答案为①③④
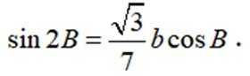
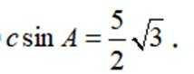
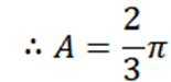
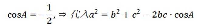
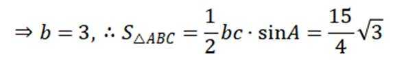
在△ABC中,
(1)求
(2)从条件①、条件②和条件③这三个条件中选择一个作为已知,求△ABC的面积.
①

注:如果选择条件①、条件②和条件③分别解答,按第一个解答计分.
正确答案
(1)
(2)
解析
这道题主要考查了正弦定理、三角函数的基本运算、两角和的正弦公式以及三角形面积公式等知识点。通过已知条件利用正弦定理求出角或边,再结合三角函数的运算求出其他相关量,最后运用三角形面积公式求解面积。
解(1)考察三角变换。由倍角公式

(2)选③ 

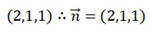
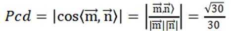
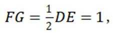
已知四棱锥P-ABCD,





(1)若F是PE中点,证明:
(2)若



正确答案
(1)略
(2)
解析
这道题主要考查了以下知识点:线面平行的判定定理,比如在(1)中通过构造平行四边形来证明线面平行。空间直角坐标系的建立以及利用空间向量求平面间的夹角,在(2)中通过建立坐标系,求出法向量进而求得平面夹角的余弦值。
(1)设PD帖为G则
中点
又




故
(2)若






为,则 



角, 

已知某险种的保费为0.4万元,前3次出险每次赔付0.8万元,第4次赔付0.6万元
在总体中抽样100单,以频率估计概率:
(1)求随机抽取一单,赔偿不少于2次的概率;
(2)(i)毛利润是保费与赔偿金额之差.设毛利润为

(ⅱ)若未赔偿过的保单下一保险期的保费下降

正确答案
(1)
解析
这道题主要考查了概率的计算、随机变量的分布列与数学期望等知识点。通过对统计数据的分析来计算赔偿不少于 2 次的概率,以及根据赔付金额的不同情况来确定其分布列并进而求出数学期望,同时还涉及到对保费变化情况的分析来计算下一保险期毛利润的数学期望。
(2)(i)保费固定,一次出在0.8W,2次赔1.6万,3次赔偿2.4万,第4次是赔了

=0.278
(ii)由题设保费的变化为为
所以E(Y)=0.122+0.4032-0.4=0.1252(万元)
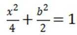
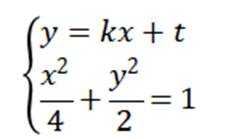
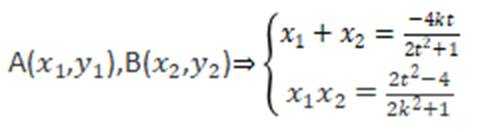
已知椭圆方程C:


(1)求椭圆方程和离心率;
(2)若直线BD
正确答案
(1)
(2)
解析
这道题主要考查了椭圆的基本性质,如椭圆方程、焦点、离心率,还涉及到直线与椭圆的位置关系,包括联立方程、韦达定理的运用,以及直线方程的求解等知识点。同时还考查了对对称性的理解和运用。
(1)易知短边
离心率
椭园为
(2)设

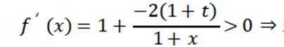
已知

(1)若切线l的斜率

(2)证明:切线l不经过
(3)已知


(参考数据:


正确答案
(1)单调递减区间为(-1,0),单调递增区间为(0,+∞)
(2)略 (3)2个
解析
这道题主要考查了导数的应用,包括利用导数求函数的单调性、切线方程,还涉及到函数零点的判断与存在性定理等知识点。同时也考查了学生对函数性质的理解和分析能力。
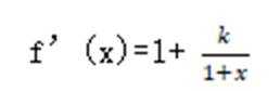
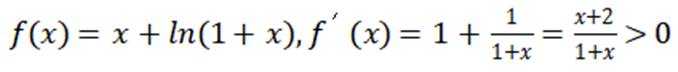
(1) 

则
令
令
则f(x)的单调递减区间为(-1,0),单调递增区间为(0,+∞)
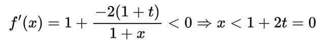
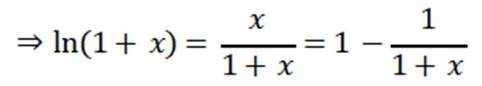
(2)反证法,若

使得
又
有解,由In函数性质这是矛盾的故不存在
(3)

K=1时,

t>0时,若q<0,则此时l与f(x)必有交点,与切线定义矛盾
由(2)知
此时切线方程为
令
因为
得到
所以满足条件的A有几个即h(t)有几个零点
当

当

当

因为h(0)=0,h(
所以由零点存在性定理及


在(4,24)上必有一个零点,
因此,h(t)有两个零点,即满足
设集合









(1)给定数列

(2)是否存在序列



(3)若数列A的各项均为正整数,且



正确答案
(1)
(2)不存在符合条件的
解析
这道题主要考查了集合的概念、数列的变换以及逻辑推理等知识点。比如通过对集合中元素的分析来理解给定的条件,运用数列的变换操作来解决具体问题,同时在证明充要条件时需要较强的逻辑推理能力。
(I)设 




而
(II)考察每一个 T(A) 操作,设 T(A)
则有

若

但是





































































































































