- 真题试卷
- 模拟试卷
- 预测试卷
1.水溶液呈酸性的是( )
正确答案
2.固液分离操作中,需要用到的仪器是( )
正确答案
3.下列物质在熔融状态下不导电的是( )
正确答案
4.下列物质对应的组成不正确的是( )
正确答案
5.下列表示不正确的是( )
正确答案
6.下列说法不正确的是( )
正确答案
7.下列说法正确的是( )
正确答案
8.下列说法不正确的是( )
正确答案
9.下列说法不正确的是( )
正确答案
10.反应
正确答案
11.下列有关实验说法不正确的是( )
正确答案
12.下列说法正确的是( )
正确答案
16.X、Y、Z、M、Q五种短周期元素,原子序数依次增大。Y元素的最高正价为

正确答案
17.下列说法不正确的是( )
正确答案
18.


正确答案
19.
正确答案
20.一定条件下:


正确答案
13.能正确表示下列反应的离子方程式是( )
正确答案
14.下列说法不正确的是( )
正确答案
15.有关
正确答案
23.常温下,用




正确答案
24.
正确答案
25.黄色固体X,可能含有漂白粉、



正确答案
21.电解高浓度



正确答案
22.关于下列




正确答案
26.(4分)
(1)气态氢化物热稳定性

(2)

(3)常温下,在水中的溶解度乙醇大于氯乙烷,原因是__________。
正确答案
(1)原子半径

(3)乙醇与水之间形成氢键而氯乙烷没有
29.(10分)研究


相关的主要化学反应有:
Ⅰ 
Ⅱ 
Ⅲ 
Ⅳ 
已知:
可根据相关物质的相对能量计算反应或变化的



请回答:
(1)①根据相关物质的相对能量计算

②下列描述正确的是_____
正确答案
(1)①430 ②AD
③
(2)①

②选择性膜吸附
30.(10分)硫代硫酸钠在纺织业等领域有广泛应用。某兴趣小组用下图装置制备
合成反应:
滴定反应:
已知:

实验步骤:
Ⅰ. 



Ⅱ. 产品分离提纯:产品混合溶液经蒸发浓缩、冷却结晶、过滤、洗涤、干燥,得到
Ⅲ. 产品纯度测定:以淀粉作指示剂,用

请回答:
(1)步骤Ⅰ 单向阀的作用是______;装置C中的反应混合溶液
(2)步骤Ⅱ 下列说法正确的是_____。
正确答案
(1)防止倒吸





(2)BC
(3)①F、B、E、C、G ②防止碘挥发损失
③
27.(4分)



已知:反应前后,溶液的比热容均近似为

(1)反应放出的热量
(2)反应


正确答案
(1)
28.(10分)
Ⅰ. 化合物Ⅹ由四种短周期元素组成,加热X,可产生使湿润的红色石蕊试纸变蓝的气体Y,Y为纯净物;取




请回答:
(1)组成X的四种元素是N、H和_______(填元素符号),X的化学式是_________。
(2)溶液B通入过量
(3)写出一个化合反应(用化学方程式或离子方程式表示)_____________。
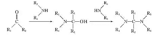
要求同时满足:
①其中一种反应物的组成元素必须是X中除N、H外的两种元素;
②反应原理与“
Ⅱ. 某兴趣小组为验证浓硫酸的性质进行实验,如图。实验中观察到的现象有:锥形瓶内有白雾,烧杯中出现白色沉淀。请回答:
(1)将浓硫酸和浓盐酸混合可产生
(2)烧杯中出现白色沉淀的原因是_____________。
正确答案
Ⅰ.(1)


(3)
Ⅱ.(1)吸水或放热导致
(2)


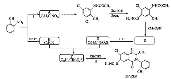
31.(12分)某研究小组以邻硝基甲苯为起始原料,按下列路线合成利尿药美托拉宗。
已知:
请回答:
(1)下列说法正确的是________。
正确答案
(1)BC
(2)
(3)
(4)
(5)






























































































































































