试卷目录
1、单选题
1
2
3
4
5
6
7
8
2、多选题
9
10
11
3、填空题
12
13
14
4、简答题
15
16
17
18
19
单选题
本大题共8小题,每小题5分,共40分。在每小题给出的4个选项中,有且只有一项是符合题目要求。
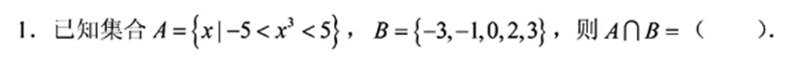
1
题型:
单选题
|
分值: 5分
正确答案
A
1
题型:
单选题
|
分值: 5分
正确答案
C
1
题型:
单选题
|
分值: 5分
正确答案
D
1
题型:
单选题
|
分值: 5分
正确答案
A
1
题型:
单选题
|
分值: 5分
正确答案
B
1
题型:
单选题
|
分值: 5分
正确答案
B
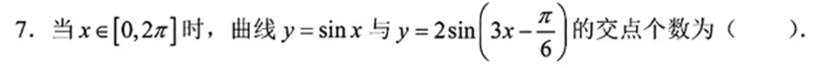
1
题型:
单选题
|
分值: 5分
正确答案
C
1
题型:
单选题
|
分值: 5分
正确答案
B
多选题
本大题共3小题,每小题6分,共18分。在每小题给出的4个选项中,有多项符合题目要求,全对得6分,选对但不全得3分,有选错的得0分。
1
题型:
多选题
|
分值: 6分
正确答案
B,C
1
题型:
多选题
|
分值: 6分
正确答案
A,C,D
1
题型:
多选题
|
分值: 6分
正确答案
A,B,D
填空题
本大题共3小题,每小题5分,共15分。把答案填写在题中横线上。
1
题型:填空题
|
分值: 5分
正确答案
1
题型:填空题
|
分值: 5分
正确答案
1
题型:填空题
|
分值: 5分
甲、乙两人各有四张卡片,每张卡片上标有一个数字,甲的卡片分别标有数字1,3,5,7,乙的卡片上分别标有数字2,4,6,8,两人进行四轮比赛,在每轮比赛中,两个各自从自己持有的卡片中随机选一张,并比较所选卡片的数字的大小,数字大的人得1分,数字小的人得0分,然后各自弃置此轮所选的卡片(弃置的卡片在此后的轮次中不能使用).则四轮比赛比赛后,甲的总得分小于2的概率为_______
正确答案
简答题(综合题)
本大题共77分。简答应写出文字说明、证明过程或演算步骤。
1
题型:简答题
|
分值: 13分
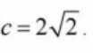
(1)求B;
正确答案
(1)
1
题型:简答题
|
分值: 15分
正确答案
(1)
1
题型:简答题
|
分值: 15分
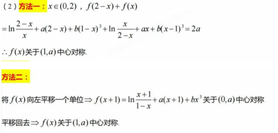
正确答案
(2)
1
题型:简答题
|
分值: 17分
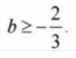
正确答案
(1)
(3)
1
题型:简答题
|
分值: 17分




































































