试卷目录
1、单选题
1
2
3
4
5
6
7
8
2、多选题
9
10
11
12
3、填空题
13
14
15
16
4、简答题
17
18
19
20
21
22
单选题
本大题共8小题,每小题5分,共40分。在每小题给出的4个选项中,有且只有一项是符合题目要求。
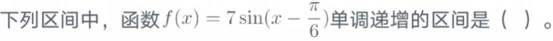
1
题型:
单选题
|
分值: 5分
正确答案
C
1
题型:
单选题
|
分值: 5分
正确答案
B
1
题型:
单选题
|
分值: 5分
正确答案
D
1
题型:
单选题
|
分值: 5分
正确答案
B
1
题型:
单选题
|
分值: 5分
正确答案
A
1
题型:
单选题
|
分值: 5分
正确答案
C
1
题型:
单选题
|
分值: 5分
正确答案
B
1
题型:
单选题
|
分值: 5分
正确答案
D
多选题
本大题共4小题,每小题5分,共20分。在每小题给出的4个选项中,有多项符合题目要求,全对得5分,选对但不全得2.5分,有选错的得0分。
1
题型:
多选题
|
分值: 5分
正确答案
A,C
1
题型:
多选题
|
分值: 5分
正确答案
C,D
1
题型:
多选题
|
分值: 5分
正确答案
A,C,D
1
题型:
多选题
|
分值: 5分
正确答案
B,D
填空题
本大题共4小题,每小题5分,共20分。把答案填写在题中横线上。
1
题型:填空题
|
分值: 5分
正确答案
1
1
题型:填空题
|
分值: 5分
正确答案
1
题型:填空题
|
分值: 5分
正确答案
1
1
题型:填空题
|
分值: 5分
正确答案
简答题(综合题)
本大题共70分。简答应写出文字说明、证明过程或演算步骤。
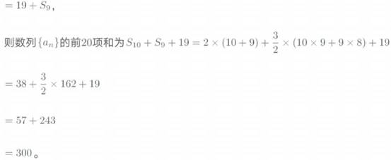
1
题型:简答题
|
分值: 12分
正确答案
1
题型:简答题
|
分值: 10分
正确答案
1
题型:简答题
|
分值: 12分
正确答案
1
题型:简答题
|
分值: 12分
正确答案
1
题型:简答题
|
分值: 12分
正确答案
1
题型:简答题
|
分值: 12分

















































































