- 真题试卷
- 模拟试卷
- 预测试卷
3. “天问一号”着陆火星,“嫦娥五号”采回月壤。腾飞中国离不开化学,长征系列运载火箭使用的燃料有液氢和煤油等化学品。下列有关说法正确的是
正确答案
解析
【详解】A煤油来源于石油,属于不可再生能源,故A错误;
B氢气的燃烧过程放出热量,将化学能变为热能,故B错误;
C元素符号左上角数字为质量数,所以火星陨石中的 20Ne 质量数为20,故C正确;
D同位素须为同种元素,3He 和 3H的质子数不同,不可能为同位素关系,故D错误;
故选C。
6. 劳动成就梦想。下列劳动项目与所述的化学知识没有关联的是
正确答案
解析
【详解】A 84消毒液中含有具有强氧化性的次氯酸钠,能起到杀菌消毒的作用,则用84消毒液对图书馆桌椅消毒与含氯消毒剂具有氧化性有关,故A不符合题意;
B含有氮、磷、钾的物质常用做化肥,则厨余垃圾制肥料与厨余垃圾含有氮、磷、钾等元素有关,故B不符合题意;
C用白醋清洗水壶中的水垢与乙酸的酸性有关,与乙酸可由乙醇氧化制备无关,故C符合题意;
D油脂在碱性条件下可发生水解反应生成甘油和可制作肥皂的高级脂肪酸盐,则以油脂为原料制备肥皂与油脂可发生皂化反应有关,故D不符合题意;
故选C。
5. 昆虫信息素是昆虫之间传递信号的化学物质。人工合成信息素可用于诱捕害虫、测报虫情等。一种信息素的分子结构简式如图所示,关于该化合物说法不正确的是
正确答案
解析
【详解】A根据结构简式可知,分子中含C、H、O,含碳碳双键和酯基,不属于烷烃,A错误;
B分子中含酯基,在酸性条件或碱性条件下可发生水解反应,B正确;
C分子中含碳碳双键,可发生加聚反应,C正确;
D该信息素“可用于诱捕害虫、测报虫情”,可推测该有机物具有一定的挥发性,D正确;
故选A。
8. 鸟嘌呤(


正确答案
解析
【详解】A GHCl为强酸弱碱盐,电离出的GH+会发生水解,弱离子的水解较为微弱,因此0.001mol/L GHCl水溶液的pH>3,故A错误;
B 稀释GHCl溶液时,GH+水解程度将增大,根据勒夏特列原理可知溶液中c(H+)将减小,溶液pH将升高,故B正确;
C GHCl为强酸弱碱盐,在水中电离方程式为GHCl=GH++Cl-,故C错误;
D 根据电荷守恒可知,GHCl溶液中c(OH-)+c(Cl-)=c(H+)+c(GH+),故D错误;
综上所述,叙述正确的是B项,故答案为B。
10. 部分含铁物质的分类与相应化合价关系如图所示。下列推断不合理的是
正确答案
解析
图中所示铁元素不同化合价的物质:a为Fe,b为FeCl2、FeSO4、Fe(NO3)2等Fe(II)的盐类物质,c为Fe(OH)2,e为FeCl3、Fe2(SO4)3、Fe(NO3)3等Fe(III)的盐类物质,d为Fe(OH)3。
【详解】A Fe与Fe(III)的盐类物质可发生反应生成Fe(II)的盐类物质,如Fe+2FeCl3=3FeCl2,故A不选;
B Fe(II)为铁元素的中间价态,既有还原性也有氧化性,因此既可被氧化,也可被还原,故B不选;
C Fe(III)的盐类物质与浓碱液反应生成Fe(OH)3沉淀,制备Fe(OH)3胶体操作为:向沸水中滴加饱和FeCl3溶液,继续煮沸至溶液呈红褐色,停止加热,故C选;
D 

综上所述,答案为C。
1. 今年五一假期,人文考古游持续成为热点。很多珍贵文物都记载着中华文明的灿烂成就,具有深邃的文化寓意和极高的学术价值。下列国宝级文物主要由合金材料制成的是
正确答案
解析
【详解】A铸客大铜鼎属于铜的合金,A符合题意;
B河姆渡出土陶灶属于陶器,主要成分为硅酸盐,不属于合金,B不符合题意;
C兽首玛瑙杯主要成分为二氧化硅,不属于合金,C不符合题意;
D角形玉杯主要成分为硅酸盐,不属于合金,D不符合题意;
故选A。
2. 广东有众多国家级非物质文化遗产,如广东剪纸、粤绣、潮汕工夫茶艺和香云纱染整技艺等。下列说法不正确的是
正确答案
解析
【详解】A广东剪纸的裁剪过程中没有新物质生成,故不涉及化学变化,A正确;
B冲泡工夫茶时茶香四溢,是因为茶水的香味分子不停地做无规则的运动,扩散到空气中,B正确;
C制作粤绣所用的植物纤维布含有纤维素,属于天然高分子化合物,C正确;
D染整技艺中去除丝胶所用的纯碱水溶液属于混合物,D错误。
故选D。
4. 化学创造美好生活。下列生产活动中,没有运用相应化学原理的是
正确答案
解析
【详解】A聚乙烯是一种无毒的塑料,是最常见的食品包装袋材料之一,则用聚乙烯塑料制作食品包装袋与燃烧生成二氧化碳和水无关,故A符合题意;
B溴离子具有还原性,能与氯气反应生成溴单质,镁离子具有弱氧化性,能用电解熔融氯化镁的方法制得镁,则海水制取溴和镁与单质,与溴离子可被氧化、镁离子可被还原有关,故B不符合题意;
C氢氟酸能与二氧化硅反应,常用来刻蚀石英制作艺术品,则用氢氟酸刻蚀石英制作艺术品,与氢氟酸能与二氧化硅反应有关,故C不符合题意;
D钢铁在潮湿的空气中易发生吸氧腐蚀,在护栏上涂油漆可以隔绝钢铁与潮湿空气接触,防止钢铁腐蚀,则公园的钢铁护栏涂刷多彩油漆防锈,与隔绝钢铁与潮湿的空气防止腐蚀有关,故D不符合题意;
故选A。
7. 测定浓硫酸试剂中



正确答案
解析
【详解】实验过程中,①量取一定量的浓硫酸并稀释所需仪器为:量筒、烧杯、玻璃棒;②转移定容得待测液所需仪器为:玻璃棒、容量瓶、胶头滴管;③移取20.00mL待测液,用0.1000mol/L的NaOH溶液滴定所需仪器为:酸式滴定管、碱式滴定管、锥形瓶,选项中A为容量瓶,B为分液漏斗,C为锥形瓶,D为碱式滴定管,上述操作中,不需要用到的仪器为分液漏斗,综上所述,故答案为B。
9. 火星大气中含有大量

正确答案
解析
【详解】根据题干信息可知,放电时总反应为4Na+3CO2=2Na2CO3+C。
A放电时负极上Na发生氧化反应失去电子生成Na+,故A错误;
B放电时正极为CO2得到电子生成C,故B正确;
C放电时阳离子移向还原电极,即阳离子由负极移向正极,故C错误;
D放电时装置为原电池,能量转化关系为化学能转化为电能和化学能等,故D正确;
综上所述,符合题意的为B项,故答案为B。
11. 设
正确答案
解析
【详解】A 1个





B 盐酸为氯化氢的水溶液,氯化氢会全部电离出阴离子Cl-,水会部分电离出阴离子OH-,水的质量及电离程度未知,故无法计算
C 未提到具体的温度、压强(如标况下),故无法计算

D 



故选A。
14. 反应





正确答案
解析
由题中信息可知,反应








【详解】A X是唯一的反应物,随着反应的发生,其浓度不断减小,因此,由图可知,


B 由图可知,分别代表3种不同物质的曲线相交于


C 由图中信息可知,



D 由图可知,






综上所述,本题选D。
12. 化学是以实验为基础的科学。下列实验操作或做法正确且能达到目的的是
正确答案
解析
【详解】A将铜丝插入浓硝酸中开始会产生二氧化氮,不能达到实验目的,A不符合题意;
B二氧化氮气体在一定条件下存在平衡:
C乙醇与水互溶,不能作碘单质的萃取剂,做法不正确,C不符合题意;
D一般情况下,剩余试剂需放到指定
故选B。
13. 一种麻醉剂的分子结构式如图所示。其中,






正确答案
解析
题给化合物结构中X、W、E均形成1个共价键、Y形成4个共价键、Z形成2个共价键。







据此分析解答。
【详解】A氯元素非金属性较强,其最高价氧化物的水化物HClO4是一种强酸,故A正确;
B同一周期元素从左到右非金属性逐渐增强,所以非金属性:F>O>C,故B正确;
C同一周期从左到右原子半径逐渐减小,同一主族从上到下原子半径逐渐增大,电子层越多半径越大,所以原子半径:Cl>C>F,故C错误;
D OF2中,F为-1价,则O
15. 宏观辨识与微观探析是化学学科核心素养之一。下列物质性质实验对应的反应方程式书写正确的是
正确答案
解析
【详解】A 

B 
C 铜丝插入热的浓硫酸中生成的气体不是氢气,应是二氧化硫,C错误;
D 








故选D。
16. 钴(
正确答案
解析
由图可知,该装置为电解池,石墨电极为阳极,水在阳极失去电子发生氧化反应生成氧气和氢离子,电极反应式为2H2O-4e-=O2↑+4H+,Ⅰ室中阳离子电荷数大于阴离子电荷数,放电生成的氢离子通过阳离子交换膜由Ⅰ室向Ⅱ室移动,钴电极为阴极,钴离子在阴极得到电子发生还原反应生成钴,电极反应式为Co2++2e-=Co,Ⅲ室中阴离子电荷数大于阳离子电荷数,氯离子过阴离子交换膜由Ⅲ室向Ⅱ室移动,电解的总反应的离子方程式为2Co2++2H2O
【详解】A由分析可知,放电生成的氢离子通过阳离子交换膜由Ⅰ室向Ⅱ室移动,使Ⅱ室中氢离子浓度增大,溶液pH减小,故A错误;
B由分析可知,阴极生成1mol钴,阳极有1mol水放电,则Ⅰ室溶液质量减少18g,故B错误;
C若移除离子交换膜,氯离子的放电能力强于水,氯离子会在阳极失去电子发生氧化反应生成氯气,则移除离子交换膜,石墨电极的电极反应会发生变化,故C错误;
D由分析可知,电解的总反应的离子方程式为2Co2++2H2O
故选D。
17. 含氯物质在生产生活中有重要作用。1774年,舍勒在研究软锰矿(主要成分是
(1)实验室沿用舍勒的方法制取
(2)实验室制取干燥

(3)某氯水久置后不能使品红溶液褪色,可推测氯水中_______已分解。检验此久置氯水中
(4)某合作学习小组进行以下实验探究。
①实验任务。通过测定溶液电导率,探究温度对
②查阅资料。电导率是表征电解质溶液导电能力的物理量。温度一定时,强电解质稀溶液的电导率随溶液中离子浓度的增大而增大;离子浓度一定时,稀溶液电导率随温度的升高而增大。25℃时,
③提出猜想。
猜想a:较高温度的
猜想b:

④设计实验、验证猜想。取试样Ⅰ、Ⅱ、Ⅲ(不同温度下配制的
⑤数据分析、交流讨论。25℃的


实验结果为



⑥优化实验。小组同学为进一步验证猜想
⑦实验总结。根据实验1~5的结果,并结合②中信息,小组同学认为猜想

正确答案
(1). MnO2+4HCl(浓)



解析
【详解】(1)实验室通常采用浓盐酸和MnO2制取


(2)根据化学方程式可知,制取的氯气中混有氯化氢、水蒸气,氯气有毒,必须进行尾气处理,因此使用饱和食盐水吸收氯化氢气体,浓硫酸除去水蒸气,最后用NaOH溶液吸收尾气,因此接口连接顺序为c-d-b-a-e,故答案为:c-d-b-a-e;
(3)久置后不能使品红溶液褪色,说明HClO已分解;检验




(4)⑤25℃时,






实验1~3中,不同的饱和溶液浓度不同且测试温度不同,根据资料显示离子浓度一定时,稀溶液电导率随温度的升高而增大,所以根据实验1~3无法判断温度较高的饱和溶液离子浓度大,进而不能得出溶解度关系,故答案为:1.34
⑥如果要判断AgCl在水中的溶解度随温度的变化情况,可以设计不相同温度下的饱和溶液在相同温度下测试,如果温度较高下的饱和溶液电导率比温度较低的饱和溶液电导率高,则可以得出温度升高饱和溶液中离子浓度高。所以可以设计试样Ⅰ在45℃下测试与实验3比较;设计试样II在45℃下测试与实验3比较。故答案为:45℃;II;45℃;
⑦猜想
20. 【化学—选修3:物质结构与性质】很多含巯基(-SH)的有机化合物是重金属元素汞的解毒剂。例如,解毒剂化合物I可与氧化汞生成化合物Ⅱ。
(1)基态硫原子价电子排布式为__________。
(2)H2S、CH4、H2O的沸点由高到低顺序为__________。
(3)汞的原子序数为80,位于元素周期表第______周期第ⅡB族。
(4)化合物Ⅲ也是一种汞解毒剂。化合物Ⅳ是一种强酸。下列说法正确的有________。
正确答案
(1). 3s23p4 (2). H2O>H2S>CH4 (3). 六 (4). D (5). 化合物III (6). 由图9c可知,图9b中Sb、Hg原子取代位置除图9b外还有其它形式 (7). 4 (8). 1:1:2 (9).
解析
【详解】(1)基态硫原子核外电子排布式为1s22s22p63s23p4,因此基态硫原子价电子排布式为3s23p4,故答案为:3s23p4。
(2)H2S、CH4、H2O均为分子晶体,H2O分子间存在氢键,沸点较高,H2S、CH4的分子间范德华力随相对分子质量增大而增加,因此沸点由高到低顺序为:H2O>H2S>CH4,故答案为:H2O>H2S>CH4。
(3)第六周期0族元素的原子序数为86,因此第80号元素Hg位于第六周期第ⅡB族,故答案为:六。
(4)A.

B.
C.
D.

综上所述,说法正确的是BD项,故答案为BD。
(5)



(6)①对比图9b和图9c可得X晶体的晶胞中上下两个单元内的原子位置不完全相同,不符合晶胞晶胞是晶体的最小重复单位要求,故答案为:由图9c可知,图9b中Sb、Hg原子取代位置除图9b外还有其它形式。
②以晶胞上方立方体中右侧面心中Hg原子为例,同一晶胞中与Hg距离最近的Sb的数目为2,右侧晶胞中有2个Sb原子与Hg原子距离最近,因此X的晶体中与Hg距离最近的Sb的数目为4;该晶胞中Sb原子均位于晶胞内,因此1个晶胞中含有Sb原子数为8,Ge原子位于晶胞顶点、面心、体心,因此1个晶胞中含有Ge原子数为1+8×



③1个晶胞的质量m=




19. 我国力争于2030年前做到碳达峰,2060年前实现碳中和。CH4与CO2重整是CO2利用的研究热点之一。该重整反应体系主要涉及以下反应:
a)CH4(g)+CO2(g)
b)CO2(g)+H2(g)
c)CH4(g)
d)2CO(g)
e)CO(g)+H2(g)
(1)根据盖斯定律,反应a的∆H1=_______(写出一个代数式即可)。
(2)上述反应体系在一定条件下建立平衡后,下列说法正确的有_______。
正确答案
(1). ∆H2+∆H3-∆H5或∆H3-∆H4 (2). AD (3). 4 (4). 4 (5). ac (6). 
解析
根据盖斯定律计算未知反应的反应热;根据影响化学反应速率和化学平衡的因素判断反应速率的变化及转化率的变化;根据图像及曲线高低判断反应进程和活化能的相对大小;根据平衡时反应物的分压计算平衡转化率;根据CO2的物理性质推测CO2的用途。
【详解】(1)根据题目所给出的反应方程式关系可知,a=b+c-e=c-d,根据盖斯定律则有∆H1=∆H2+∆H3-∆H5=∆H3-∆H4;
(2)A.增大CO2和CH4的浓度,对于反应a、b、c来说,均增大了反应物的浓度,反应的正反应速率增大,A正确;
B.移去部分C(s),没有改变反应体系中的压强,反应的正逆反应速率均不变,平衡不移动,B错误;
C.催化剂可以同等条件下增大正逆反应速率,只能加快反应进程,不改变反应的平衡状态,平衡转化率不变,C错误;
D.降低温度,体系的总能量降低,正、逆反应速率均减小,D正确;
故答案选AD;
(3)由图可知,反应过程中能量变化出现了4个峰,即吸收了4次活化能,经历了4步反应;且从左往右看4次活化能吸收中,第4次对应的峰最高,即正反应方向第4步吸收的能量最多,对应的正反应活化能最大。
(4)①随着温度的升高,反应a和c的ln K



②用相对分压代替浓度,则反应c的平衡常数表达式K

③由图可知,A处对应反应c的ln K




(5)固态CO2即为干冰,干冰用于制冷或人工降雨均是利用其物理性质。
【点睛】本题难点在于K

18. 对废催化剂进行回收可有效利用金属资源。某废催化剂主要含铝(


已知:25℃时,







(1)“焙烧”中,有

(2)“沉铝”中,生成的沉淀
(3)“沉钼”中,
①生成
②若条件控制不当,




(4)①滤液Ⅲ中,主要存在的钠盐有


②往滤液Ⅲ中添加适量


(5)高纯


①该氧化物为_______。
②已知:






正确答案
(1). +6 (2). 







解析
由题中信息可知,废催化剂与氢氧化钠一起焙烧后,铝和钼都发生了反应分别转化为偏铝酸钠和钼酸钠,经水浸、过滤,分离出含镍的固体滤渣,滤液I中加入过量的二氧化碳,偏铝酸钠转化为氢氧化铝沉淀,过滤得到的沉淀X为氢氧化铝,滤液II中加入适量的氯化钡溶液沉钼后,过滤得到钼酸钡。
【详解】(1)“焙烧”中,有

(2)“沉铝”中,偏铝酸钠转化为氢氧化铝,因此,生成的沉淀

(3)①滤液II中含有钼酸钠,加入氯化钡溶液后生成



②若开始生成












(4)①滤液I中加入过量的二氧化碳,偏铝酸钠转化为氢氧化铝沉淀,同时生成碳酸氢钠,过滤得到的滤液II中含有碳酸氢钠和钼酸钠。滤液II中加入适量的氯化钡溶液沉钼后,因此,过滤得到的滤液Ⅲ中,主要存在的钠盐有



②根据侯氏制碱法的原理可知,往滤液Ⅲ中添加适量



(5)①由题中信息可知,致密的保护膜为一种氧化物,是由


②由














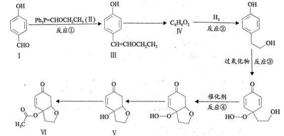
21.【化学—选修5:有机化学基础】
天然产物Ⅴ具有抗疟活性,某研究小组以化合物Ⅰ为原料合成Ⅴ及其衍生物Ⅵ的路线如下(部分反应条件省略,Ph表示-C6H5):
已知:
(1)化合物Ⅰ中含氧官能团有_______(写名称)。
(2)反应①的方程式可表示为:I+II=III+Z,化合物Z的分子式为_______。
(3)化合物IV能发生银镜反应,其结构简式为_______。
(4)反应②③④中属于还原反应的有_______,属于加成反应的有_______。
(5)化合物Ⅵ的芳香族同分异构体中,同时满足如下条件的有_______种,写出其中任意一种的结构简式:_______。
条件:a.能与NaHCO3反应;b. 最多能与2倍物质的量的NaOH反应;c. 能与3倍物质的量的Na发生放出H2的反应;d.核磁共振氢谱确定分子中有6个化学环境相同的氢原子;e.不含手性碳原子(手性碳原子是指连有4个不同的原子或原子团的饱和碳原子)。
(6)根据上述信息,写出以苯酚的一种同系物及HOCH2CH2Cl为原料合成
正确答案
(1). (酚)羟基、醛基 (2). C18H15OP (3). 

解析
【详解】(1)根据有机物Ⅰ的结构,有机物Ⅰ为对醛基苯酚,其含氧官能团为(酚)羟基、醛基;
(2)反应①的方程式可表示为:Ⅰ+Ⅱ=Ⅲ+Z,根据反应中Ⅰ、Ⅱ、Ⅲ的分子式和质量守恒定律可知,反应前与反应后的原子个数相同,则反应后Z的分子式为C18H15OP;
(3)已知有机物Ⅳ可以发生银镜反应,说明有机物Ⅳ中含有醛基,又已知有机物Ⅳ可以发生反应生成


(4)还原反应时物质中元素的化合价降低,在有机反应中一般表现为加氢或者去氧,所以反应②和④为还原反应,其中反应②为加成反应;
(5)化合物Ⅳ的分子式为C10H12O4,能与NaHCO3反应说明含有羧基,能与NaOH反应说明含有酚羟基或羧基或酯基,最多能与2倍物质的量的NaOH反应,说明除一个羧基外还可能含有酚羟基、羧基、酯基其中的一个,能与Na反应的挂能能团为醇羟基、酚羟基、羧基,能与3倍物质的量的发生放出的反应,说明一定含有醇羟基,综上该分子一定含有羧基和醇羟基,由于该分子共有4个碳氧原子,不可能再含有羧基和酯基,则还应含有酚羟基,核磁共振氢谱确定分子中有6个化学环境相同的氢原子,说明含有两个甲基取代基,并且高度对称,据此可知共有三个取代基,分别是-OH、-COOH和













(6)根据题给已知条件对甲苯酚与HOCH2CH2Cl反应能得到

































































































