试卷目录
1、填空题
1
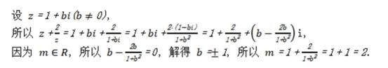
2
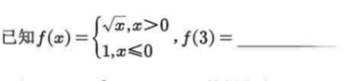
3
4
5
6
7
8
9
10
11
12
2、单选题
13
14
15
16
3、简答题
17
18
19
20
21
填空题
本大题共12小题,每小题4分,共48分。把答案填写在题中横线上。
1
题型:填空题
|
分值: 4分
正确答案
解析
略
1
题型:填空题
|
分值: 4分
正确答案
解析
略
1
题型:填空题
|
分值: 4分
正确答案
(-1,3)
解析
略
1
题型:填空题
|
分值: 4分
正确答案
0
解析
由题可知,F(0)=0,则a=0
1
题型:填空题
|
分值: 4分
正确答案
15
解析
由题可知,2k=5×6,则k=15
1
题型:填空题
|
分值: 4分
正确答案
10
解析
1
题型:填空题
|
分值: 5分
正确答案
解析
1
题型:填空题
|
分值: 5分
某校举办科学竞技比赛,有A、B、C3种题库,A题库有5000道题,B题库有4000道题,C题库有3000道题.小申已完成所有题,他A题库的正确率是0.92,B题库的正确率是0.86,C题库的正确率是0.72.现他从所有的题中随机选一题,正确率是_____.
正确答案
解析
1
题型:填空题
|
分值: 5分
正确答案
2
解析
1
题型:填空题
|
分值: 5分
正确答案
329
解析
1
题型:填空题
|
分值: 5分
正确答案
解析
1
题型:填空题
|
分值: 5分
正确答案
解析
单选题
本大题共4小题,每小题4分,共16分。在每小题给出的4个选项中,有且只有一项是符合题目要求。
1
题型:
单选题
|
分值: 4分
已知气候温度和海水表层温度相关,且相关系数为正数,对此描述正确的是()
正确答案
C
解析
成对数据相关分析中,若相关系数为正数,当x的值由小变大,y的值具有由小变大的变化趋势,故A,B,D选项错误,答案选C
1
题型:
单选题
|
分值: 4分
正确答案
A
解析
1
题型:
单选题
|
分值: 5分
正确答案
C
解析
1
题型:
单选题
|
分值: 5分
正确答案
D
解析
简答题(综合题)
本大题共78分。简答应写出文字说明、证明过程或演算步骤。
1
题型:简答题
|
分值: 14分
正确答案
(1)
(2)
解析
(1)
(2)
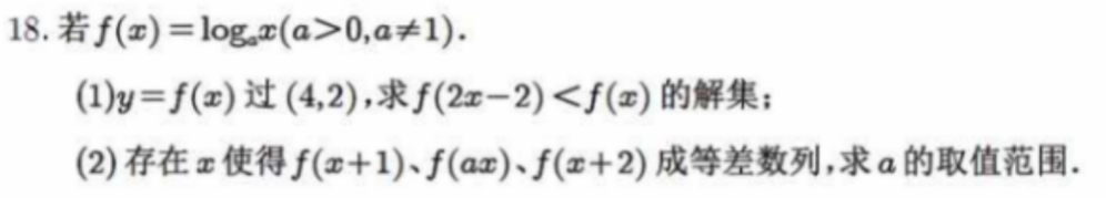
1
题型:简答题
|
分值: 14分
正确答案
(1)(1,2)
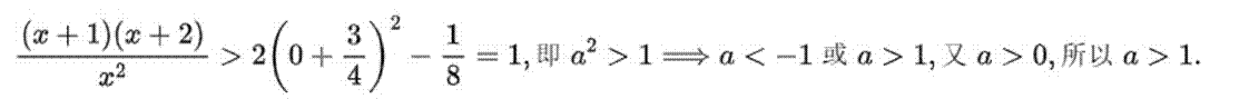
(2)a>1
解析
(1)
(2)
1
题型:简答题
|
分值: 14分
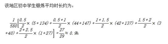
为了解某地初中学生体育锻炼时长与学业成绩的关系,从该地区29000名学生中抽取580人,得到日均体育锻炼时长与学业成绩的数据如下表所示:
(1)该地区29000名学生中体育锻炼时长大于1小时人数约为多少?
(2)估计该地区初中学生日均体育锻炼的时长(精确到0.1)
正确答案
(1)12500人
(2)0.9h
(3)学业成绩与锻炼时长不小于1小时且小于2小时有关
解析
(1)
(2)
(3)
1
题型:简答题
|
分值: 18分
正确答案
(1)
(2)
(3)
解析
(1)
(2)
(3)
1
题型:简答题
|
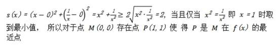
分值: 18分
正确答案
(1)略
(2)存在点P(0,1)使直线MP于f(x)在点P处的切线垂直
(3)略
解析
(1)
(2)










































































