正确答案
解析
本题主要考查了集合的交集运算的知识点。

正确答案
解析
本题主要考查了充分条件、必要条件的判断,以及指数运算和立方运算的相关知识。
以下相关系数最大的是
正确答案
解析
本题主要考查了相关性系数的概念以及对不同图形所表示的相关性的理解。
选 A. 线性相关系数越大,越接近直线,方差越小
下列函数是偶函数的是( )
正确答案
解析
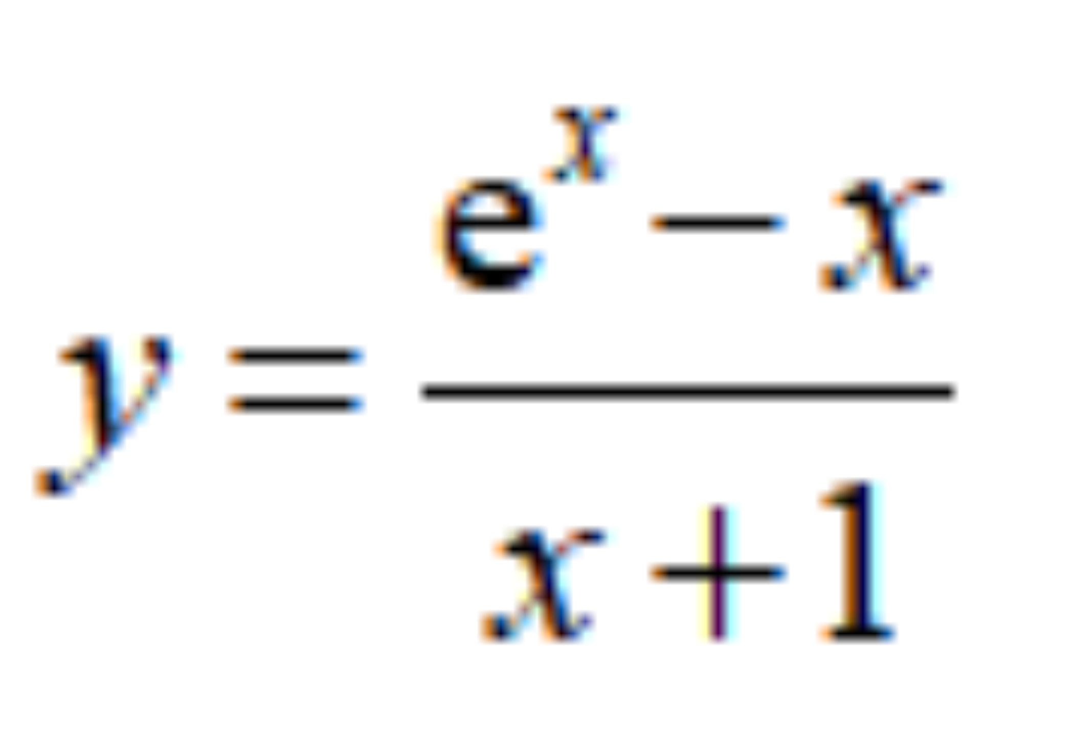
本题主要考查了偶函数的定义。偶函数是指对于定义域内的任意一个x,都有f(-x)=f(x)成立的函数,同时也涉及到函数定义域的判断等知识点。
正确答案
解析
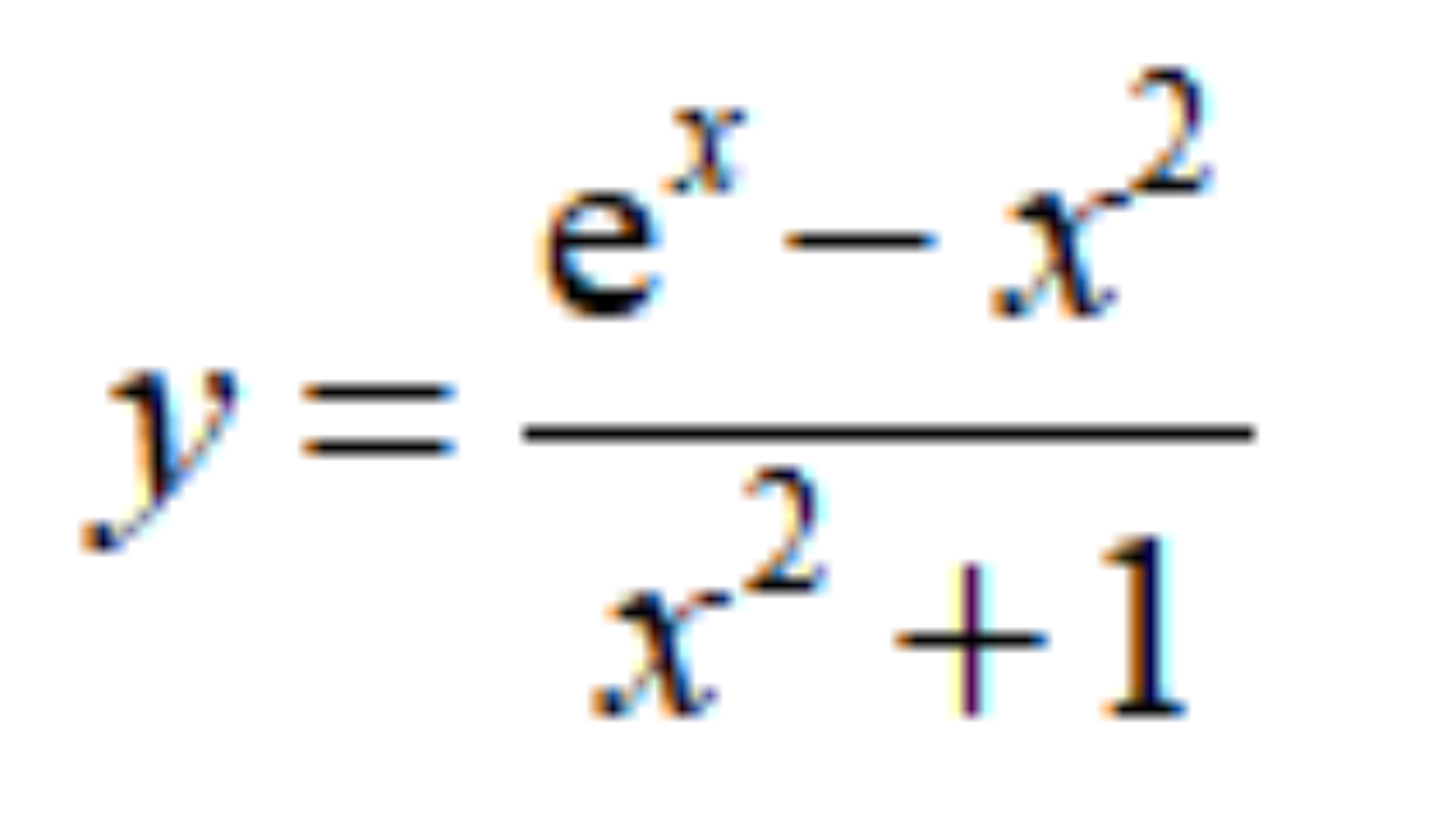
本题主要考查了指数函数的单调性、对数函数的单调性等知识点。
设m,n为两条不同的直线,α为一平面,则下列结论中正确的是( )
正确答案
解析
本题主要考查了直线与平面的位置关系,包括直线与平面平行、直线与平面内直线的关系,以及直线与垂直于平面的直线的关系等知识点。
已知函数

正确答案
解析
本题主要考查了三角函数的周期性。
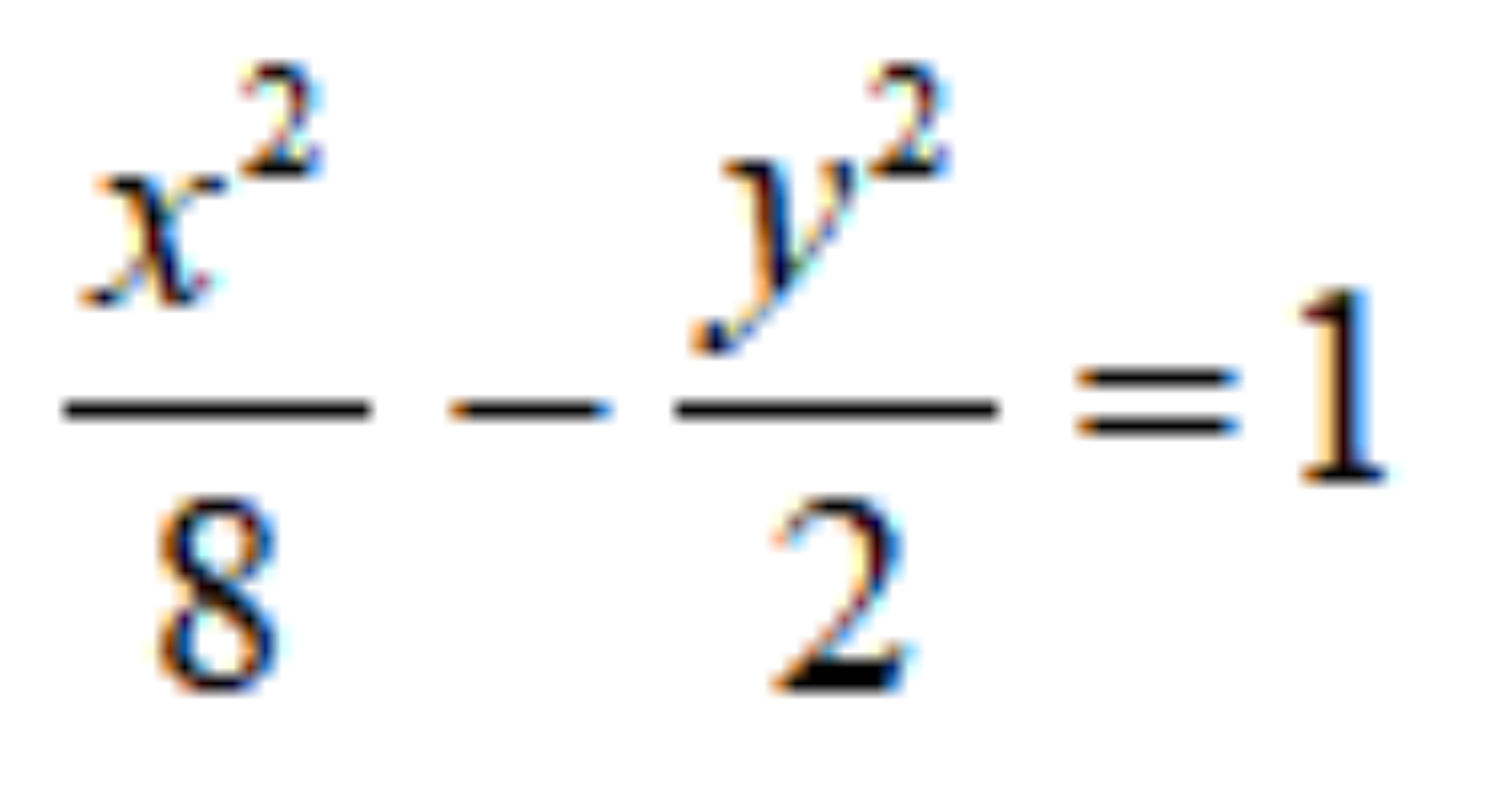
双曲线

正确答案
解析
本题主要考查了双曲线的定义、性质,直角三角形中的相关计算,以及正弦定理等知识点。
正确答案
解析
本题主要考查了空间几何体的体积计算,以及对空间想象能力和转化思想的运用。
正确答案
解析
本题主要考查了复数的乘法运算。
在
正确答案
20
解析
本题主要考查了二项式定理的知识点。
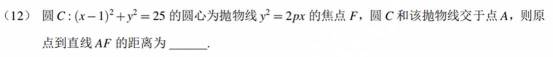
因为
令
正确答案
解析
本题主要考查了圆的方程、抛物线的方程及焦点、直线方程以及点到直线距离公式等知识点。
A、B、C、D、E五种活动,甲、乙都要选择三个活动参加.(1)甲选到A的概率为______;已知乙选了A活动,他再选择B活动的概率为______.
正确答案
0.6 0.5
解析
本题主要考查了用列举法求概率的知识点。
正确答案

解析
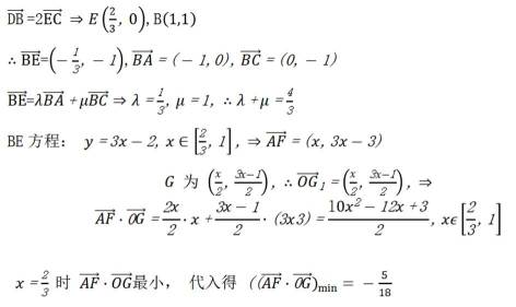
本题主要考查了平面向量的线性运算、数量积运算,还涉及到坐标法在向量问题中的应用,以及二次函数求最值等知识点。
如图建立坐标系
正确答案
解析
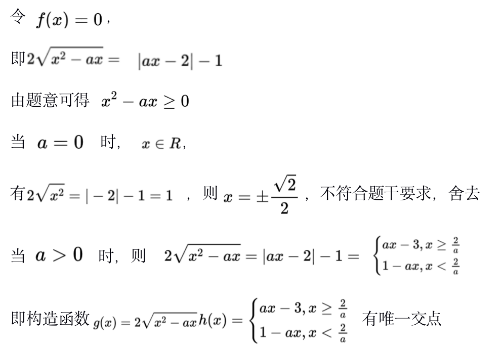
本题主要考查了函数的零点、绝对值的性质、二次根式的性质、双曲线的性质以及分类讨论思想等知识点。
正确答案
(1)4 (2)
解析
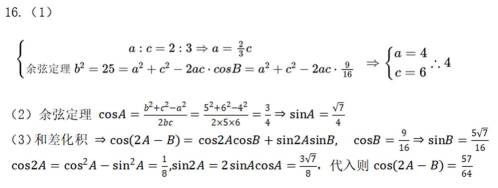
本题主要考查了三角函数的定义及相关公式,包括余弦定理、正弦定理,以及两角差的余弦公式等知识点。
正确答案
(1)略 (2)
解析
本题主要考查了空间直线与平面的位置关系,包括线面平行的判定,以及利用空间向量求平面的夹角和点到平面的距离等知识点。
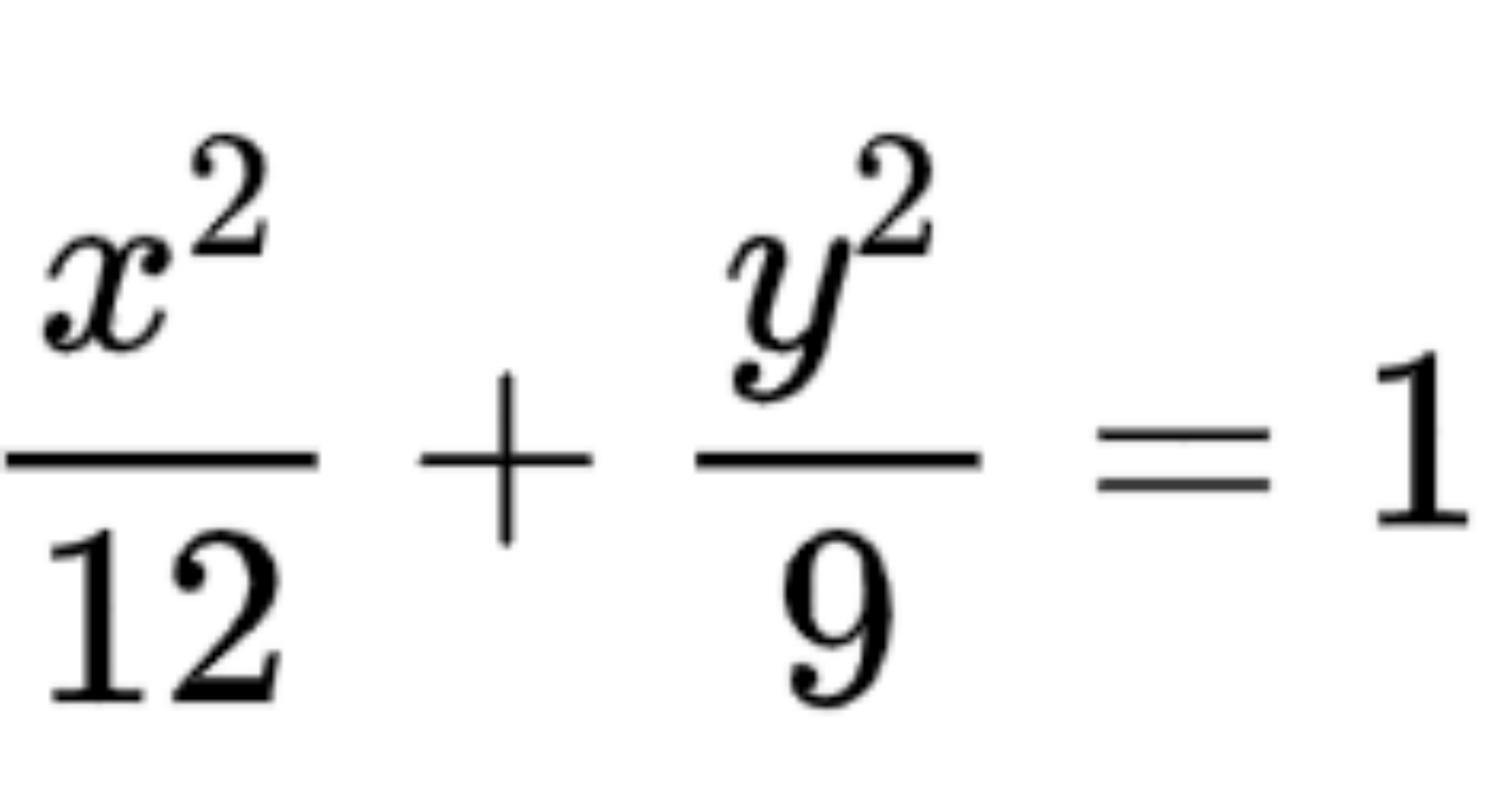
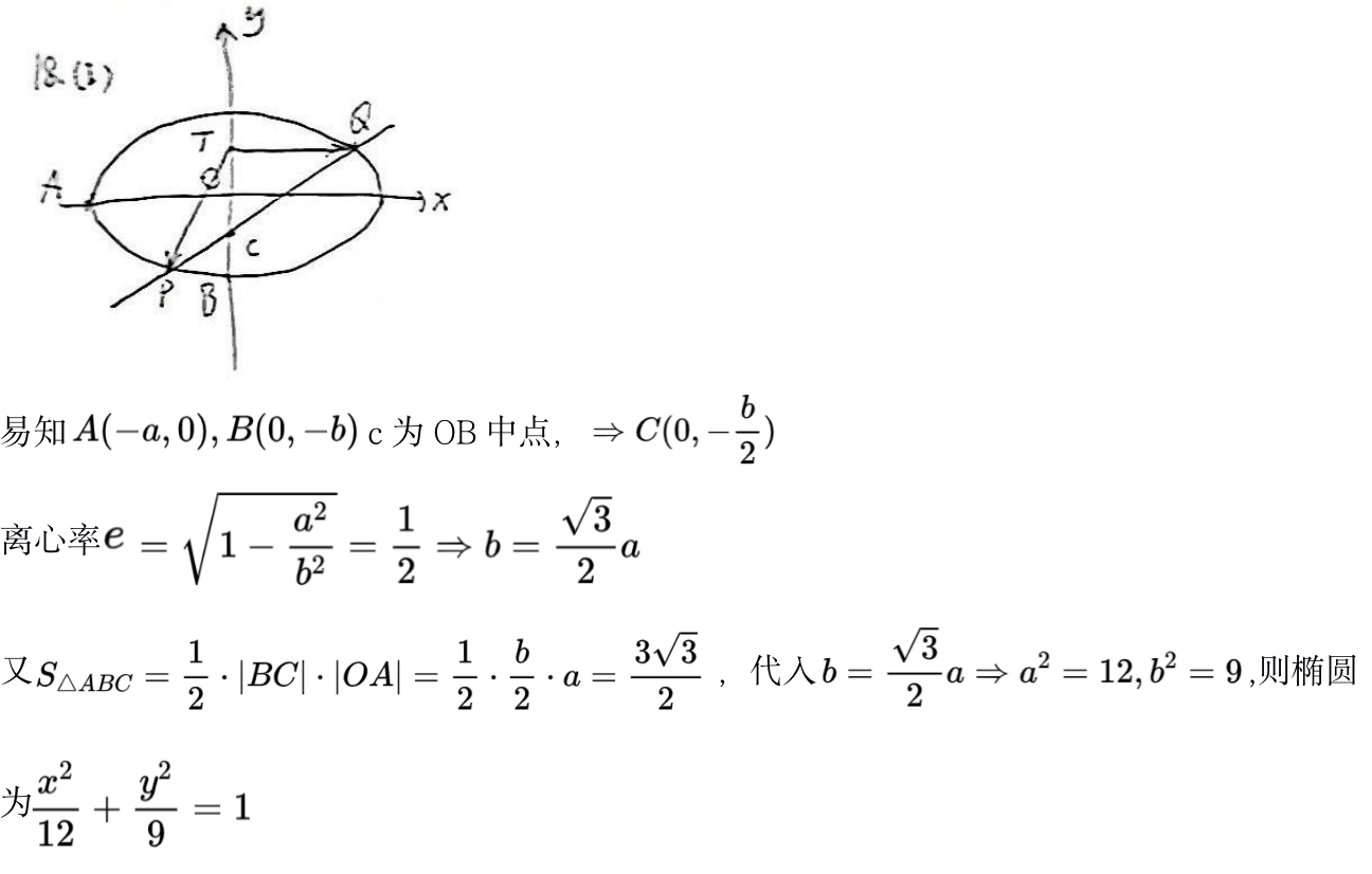
已知椭圆

(1)求椭圆方程.
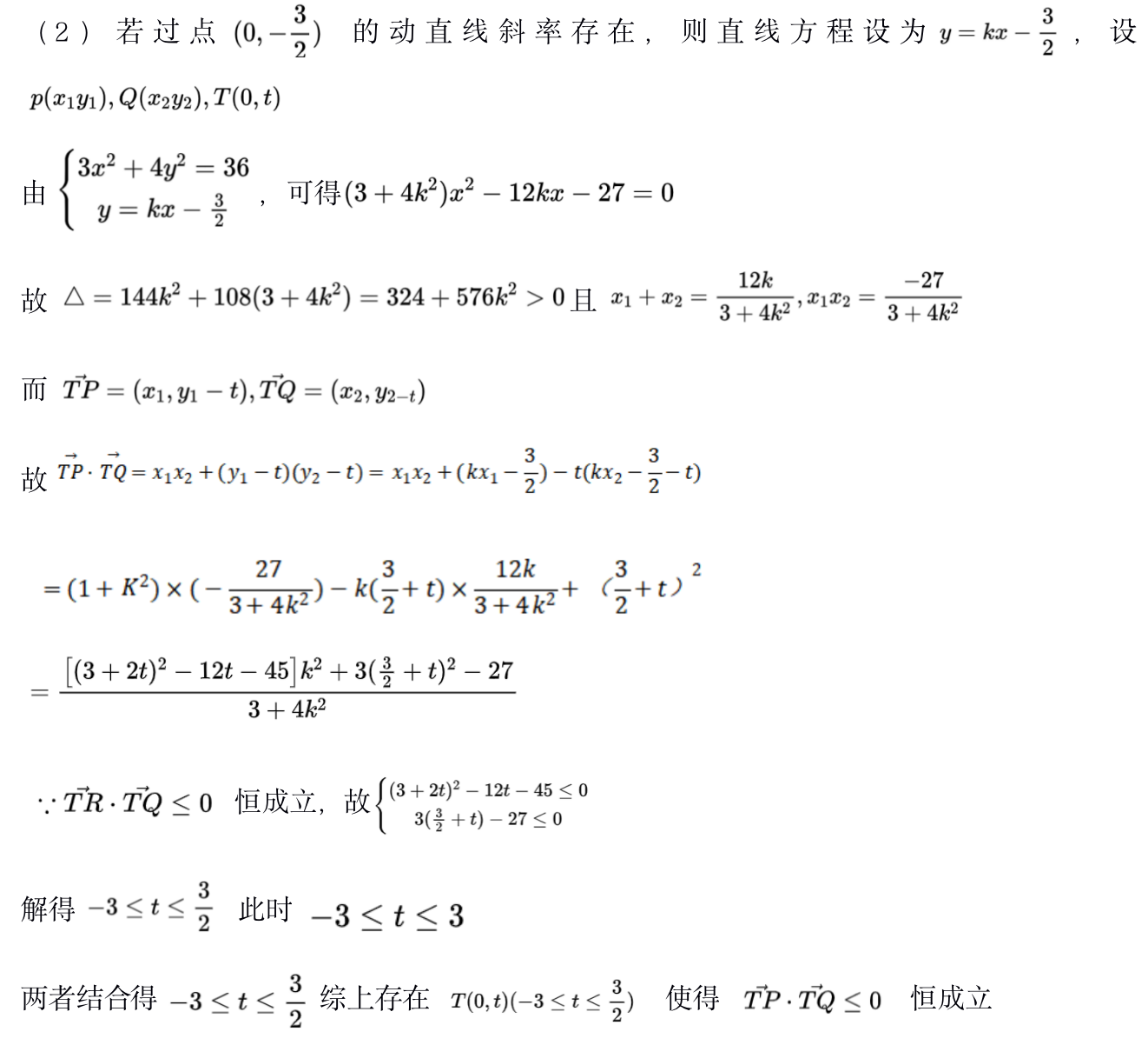
(2)过点

正确答案
(1)
(2)略
解析
本题主要考查了椭圆的基本性质、椭圆方程、离心率、顶点坐标等,还涉及到三角形面积的计算,以及直线与椭圆的位置关系,向量的数量积等知识点。
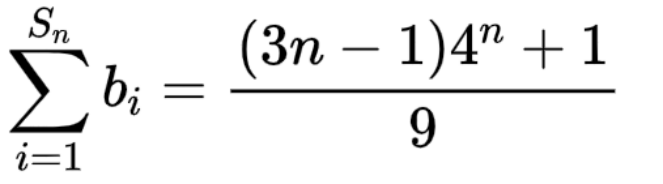
正确答案
(1)
(2)
解析
本题主要考查了等比数列的通项公式、前n项和公式,以及数列的综合应用。还涉及到分类讨论思想等。
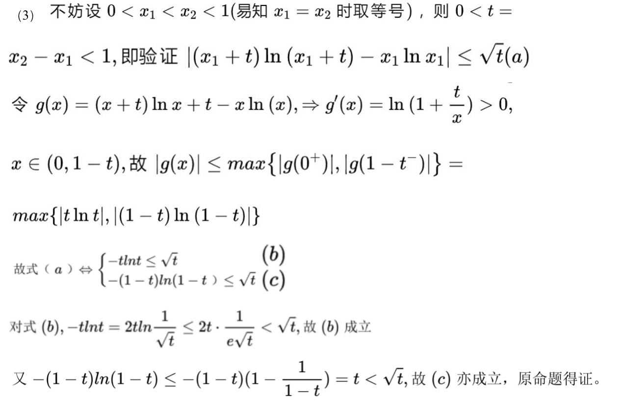
正确答案
略
解析
本题主要考查了导数的几何意义、利用导数研究函数的单调性和最值、不等式恒成立问题以及导数在证明不等式中的应用等知识点。

















































































