试卷目录
1、单选题
1
2
3
4
5
6
7
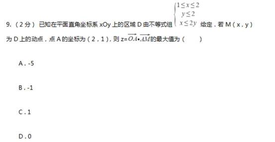
8
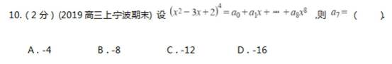
9
10
11
12
2、填空题
13
14
15
16
3、简答题
17
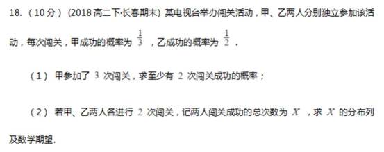
18
19
20
21
22
23
24
单选题
本大题共12小题,每小题2分,共24分。在每小题给出的4个选项中,有且只有一项是符合题目要求。
1
题型:
单选题
|
分值: 2分
正确答案
B
1
题型:
单选题
|
分值: 2分
正确答案
D
1
题型:
单选题
|
分值: 2分
正确答案
C
1
题型:
单选题
|
分值: 2分
正确答案
A
1
题型:
单选题
|
分值: 2分
正确答案
B
1
题型:
单选题
|
分值: 2分
正确答案
B
1
题型:
单选题
|
分值: 2分
正确答案
C
1
题型:
单选题
|
分值: 2分
正确答案
A
1
题型:
单选题
|
分值: 2分
正确答案
C
1
题型:
单选题
|
分值: 2分
正确答案
C
1
题型:
单选题
|
分值: 2分
正确答案
B
1
题型:
单选题
|
分值: 2分
正确答案
B
填空题
本大题共4小题,每小题1分,共4分。把答案填写在题中横线上。
1
题型:填空题
|
分值: 1分
正确答案
8
1
题型:填空题
|
分值: 1分
正确答案
2
1
题型:填空题
|
分值: 1分
正确答案
1
题型:填空题
|
分值: 1分
正确答案

简答题(综合题)
本大题共40分。简答应写出文字说明、证明过程或演算步骤。
1
题型:简答题
|
分值: 5分
正确答案
1
题型:简答题
|
分值: 5分
正确答案
(1)
(2)
1
题型:简答题
|
分值: 5分
正确答案
1
题型:简答题
|
分值: 5分
正确答案
1
题型:简答题
|
分值: 5分
正确答案
1
题型:简答题
|
分值: 5分
正确答案
1
题型:简答题
|
分值: 5分
正确答案
1
题型:简答题
|
分值: 5分


































