3.在

正确答案
5.已知半径为1的圆经过点
正确答案
8.在等差数列



正确答案
2.在复平面内,复数z对应的点的坐标是(1,2),则
正确答案
1.已知集合
正确答案
4.某三棱柱的底面为正三角形,其三视图如图所示,该三棱柱的表面积为
正确答案
6.已知函数

正确答案
7.设抛物线的顶点为








正确答案
9.已知



正确答案
10.2020年3月14日是全球首个国际圆周率日(π Day).历史上,求圆周率π的方法有多种,与中国传统数学中的“割圆术”相似,数学家阿尔·卡西的方法是:当正整数



正确答案
13.已知正方形




正确答案

15.为满足人民对美好生活的向往,环保部门要求企业加强污水治理,排放未达标的企业要限期整改,设企业的污水排放量





① 在
② 在
③ 在
④ 甲企业在



其中所有正确结论的序号是______.
正确答案
①②③
11.函数
正确答案
{x|x>0}
12.已知双曲线


正确答案
(3,0),
14.若函数

正确答案
16.(本小题13分)
如图,在正方体


(Ⅰ)求证: 

(Ⅱ)求直线

正确答案
19.(本小题15分)
已知函数
(Ⅰ)求曲线
(Ⅱ)设曲线



正确答案
20.(本小题15分)
已知椭圆


(Ⅰ)求椭圆
(Ⅱ)过点










正确答案
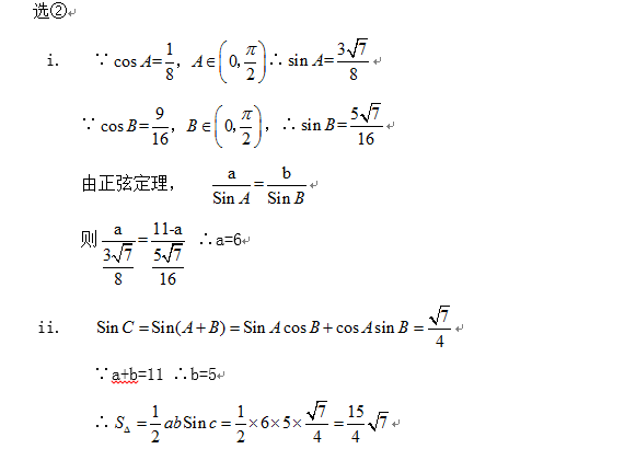
17.(本小题13分)
在

(I) a的值;
(II) 

条件①: 

条件②: 

注:如果选择条件①和条件②分别解答,按第一个解答计分。
正确答案
18.(本小题14分)
某校为举办甲、乙两项不同活动,分别设计了相应的活动方案:方案一、方案二。为了解该校学生对活动方案是否支持,对学生进行简单随机抽样,获得数据如下表:
假设所有学生对活动方案是否支持相互独立。
(Ⅰ)分别估计该校男生支持方案一的概率、该校女生支持方案一的概率;
(Ⅱ)从该校全体男生中随机抽取2人,全体女生中随机抽取1人,估计这3人中恰有2人支持方案一的概率;
(Ⅲ)将该校学生支持方案二的概率估计值记为



正确答案
21.(本小题15分)
已知
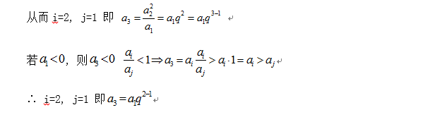
①对于




②对于




(Ⅰ)若

(Ⅱ)若

(Ⅲ)若












































