- 真题试卷
- 模拟试卷
- 预测试卷
科技是第一生产力,我国科学家在诸多领域取得新突破,下列说法错误的是
正确答案
下列化学用语或表述正确的是
正确答案
下列有关物质的工业制备反应错误的是
正确答案
下列鉴别或检验不能达到实验目的的是
正确答案
我国古代四大发明之一黑火药的爆炸反应为:

正确答案
在光照下,螺呲喃发生开、闭环转换而变色,过程如下。下列关于开、闭环螺呲喃说法正确的是
正确答案
某无隔膜流动海水电解法制


正确答案
冠醚因分子结构形如皇冠而得名,某冠醚分子c可识别
正确答案
某工厂采用如下工艺制备


正确答案
某低成本储能电池原理如下图所示。下列说法正确
正确答案
一定条件下,酸性



正确答案
某小组进行实验,向



正确答案
晶体结构的缺陷美与对称美同样受关注。某富锂超离子导体的晶胞是立方体(图1),进行镁离子取代及卤素共掺杂后,可获得高性能固体电解质材料(图2)。下列说法错误的是
正确答案
某废水处理过程中始终保持







正确答案
某种镁盐具有良好的电化学性能,其阴离子结构如下图所示。W、X、Y、Z、Q是核电荷数依次增大的短周期元素,W、Y原子序数之和等于Z,Y原子价电子数是Q原子价电子数的2倍。下列说法错误的是
正确答案
某工厂采用如下工艺处理镍钴矿硫酸浸取液含(

已知:
回答下列问题:
(1)用硫酸浸取镍钴矿时,提高浸取速率的方法为_______(答出一条即可)。
(2)“氧化”中,混合气在金属离子的催化作用下产生具有强氧化性的过一硫酸

(3)“氧化”中,用石灰乳调节




(4)“氧化”中保持空气通入速率不变,




(5)“沉钴镍”中得到的

(6)“沉镁”中为使


正确答案
(1)适当增大硫酸浓度或适当升高温度或将镍钴矿粉碎增大接触面积
(2)
(3) ① 
(4) ① 9.0% ②


(5)
(6)11.1
2—噻吩乙醇(
Ⅰ 制钠砂。向烧瓶中加入

Ⅱ 制噻吩钠。降温至

Ⅲ 制噻吩乙醇钠。降温至

Ⅳ 水解。恢复室温,加入



Ⅴ 分离。向有机相中加入无水

回答下列问题:
(1)步骤Ⅰ中液体A可以选择_______。
--a乙醇 b水 c甲苯 d液氨
(2)噻吩沸点低于吡咯(
(3)步骤Ⅱ的化学方程式为_______。
(4)步骤Ⅲ中反应放热,为防止温度过高引发副反应,加入环氧乙烷溶液的方法是_______。
(5)步骤Ⅳ中用盐酸调节
(6)下列仪器在步骤Ⅴ中无需使用的是_______(填名称):无水
(7)产品的产率为_______(用
正确答案
(1)c (2):
(3)
(4)将环氧乙烷溶液沿烧杯壁缓缓加入,此过程中不断用玻璃棒进行搅拌来散热
(5)将NaOH中和,使平衡正向移动,增大反应物的转化率
(6) ①球形冷凝管和分液漏斗 ②除去水
(7)70.0%
硫酸工业在国民经济中占有重要地位。
(1)我国古籍记载了硫酸的制备方法——“炼石胆(




(2)铅室法使用了大容积铅室制备硫酸(76%以下),副产物为亚硝基硫酸,主要反应如下:
(ⅰ)上述过程中
(ⅱ)为了适应化工生产的需求,铅室法最终被接触法所代替,其主要原因是_______(答出两点即可)。
(3)接触法制硫酸的关键反应为
(ⅰ)为寻求固定投料比下不同反应阶段的最佳生产温度,绘制相应转化率(α)下反应速率(数值已略去)与温度的关系如下图所示,下列说法正确的是_______。
--a 温度越高,反应速率越大;b α=0.88的曲线代表平衡转化率;c α越大,反应速率最大值对应温度越低;d 可根据不同
(ⅱ)为提高钒催化剂的综合性能,我国科学家对其进行了改良。不同催化剂下,温度和转化率关系如下图所示,催化性能最佳的是_______(填标号)。
(ⅲ)设




正确答案
(1) ①
(2) ①催化剂 ②反应中有污染空气的NO和

(3)① cd ② d ③
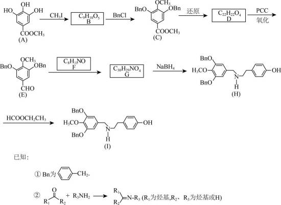
加兰他敏是一种天然生物碱,可作为阿尔茨海默症的药物,其中间体的合成路线如下。
回答下列问题:
(1)A中与卤代烃成醚活性高的羟基位于酯基的_______位(填“间”或“对”)。
(2)C发生酸性水解,新产生的官能团为羟基和_______(填名称)。
(3)用
(4)F的同分异构体中,红外光谱显示有酚羟基、无N-H键的共有_______种。
(5)H→I的反应类型为_______。
(6)某药物中间体的合成路线如下(部分反应条件已略去),其中M和N的结构简式分别为_______和_______。
正确答案
(1)对
(2)羧基
(3)2
(4)3
(5)取代
(6) ①


















































































