- 真题试卷
- 模拟试卷
- 预测试卷
文物见证历史,化学创造文明。东北三省出土的下列文物据其主要成分不能与其他三项归为一类的是
正确答案
解析
本题考查了物质的分类这个知识点
A 选项金代六曲葵花鎏金银盏是合金,属于无机金属材料。
B 选项北燕鸭形玻璃注是玻璃制品,属于硅酸盐材料。
C 选项汉代白玉耳环是玉,属于含有微量元素的钙镁硅酸盐材料。
D 选项新石器时代彩绘几何纹双腹陶罐是陶器,属于硅酸盐材料。
故选A
下列化学用语或表述正确的是
正确答案
解析
本题主要考查了核素的表示、晶体类型、共价键类型以及分子的空间结构等知识点。
A 选项中子数为 1 的 He 核素其质量数为 1+2=3,应表示为 ,A 错误。
B 选项晶体中只含有共价键,为共价晶体,不是分子晶体,B 错误。
C 选项两个 F 原子的 2p 轨道单电子相互重叠形成 p-pσ键,C 正确。
D 选项的中心原子存在 1 对孤电子对,其 VSEPR 模型为四面体型, 的空间结构为三角锥型,D 错误。
故本题答案为:C。
下列实验操作或处理方法错误的是
正确答案
解析
这道题主要考查了一些化学实验基本操作和安全知识,包括气体纯度的检验、不同物质着火的处理方法、危险物的处理以及化学物质与皮肤接触后的处理等知识点。
A 选项因为氢气是易燃气体,若不验纯直接点燃可能会发生爆炸,所以点燃氢气前先检验其纯度是正确的操作,A 正确。
B 选项金属钾非常活泼,能与水剧烈反应产生氢气,会使火势更旺,不能用湿抹布盖灭,B 错误。
C 选项汞有毒,硫粉能与汞反应生成无毒的硫化汞,所以温度计中水银洒落地面用硫粉处理是正确的做法,C 正确。
D 选项苯酚能溶于乙醇,先用乙醇冲洗可以溶解大部分苯酚,再用水冲洗进一步去除残留,D 正确。
故选B.
硫及其化合物部分转化关系如图。设
正确答案
解析
本题主要考查了阿伏加德罗常数的应用,涉及到物质的量、气体摩尔体积、物质组成以及氧化还原反应中电子转移等知识点。
A 选项标况下,




B 选项为弱酸阴离子,在水中会发生水解,所以100mL 0.1mol/L


C 选项反应①的方程式为
2mol



D 选项反应②的离子方程式为




故选D
家务劳动中蕴含着丰富的化学知识。下列相关解释错误的是
正确答案
解析
本题主要考查了一些常见物质的性质及应用,比如过氧碳酸钠的氧化性、乙醇的挥发性、酸的酸性比较以及油脂的碱性水解等知识点。
A 选项过碳酸钠中过碳酸根中有两个氧原子为-1 价,易得到电子变成-2 价氧,所以过碳酸钠具有强氧化性,可以漂白衣物,A 正确。
B 选项酿米酒时米饭需晾凉后加酒曲,主要是因为米饭过热会使微生物失活,而不是乙醇受热易挥发,B 错误。
C 选项柠檬酸的酸性强于碳酸,能将水垢中的碳酸钙分解为可溶性的钙离子,从而去除水垢,C 正确。
D 选项油脂可以在碱性条件下水解成可溶于水的甘油和脂肪酸盐,所以可以用碱液清洗厨房油污,D 正确。
故本题答案为:B。





正确答案
解析
本题主要考查了一些常见物质的性质及应用,比如过氧碳酸钠的氧化性、乙醇的挥发性、酸的酸性比较以及油脂的碱性水解等知识点
A 选项溶液由无色变为蓝色,说明有碘单质
B 选项溶液由蓝色变为无色,是碘单质

C 选项根据分析可知,过氧化氢
D 选项因为反应过程中有碘单质
故本题答案为:C。
如下图所示的自催化反应,Y作催化剂。下列说法正确的是
正确答案
解析
这道题主要考查了催化剂的性质、物质的水解反应、原子的杂化方式以及反应速率的影响因素等知识点
A 选项由 X 的结构简式可知,其含有酯基和酰胺基,酯基和酰胺基都能发生水解反应,A 错误。
B 选项Y 中含氨基,显碱性,与盐酸反应生成盐,一般盐在水中溶解性较好,B 错误。
C 选项Z 中含苯环和碳碳双键,无饱和碳原子,所有碳原子均为 sp2杂化,C 正确。
D 选项虽然 Y 起催化作用,但随着反应进行,反应物 X 浓度减小,反应速率不会一直增大,D 错误。
故本题答案为:C。
下列实验方法或试剂使用合理的是
正确答案
解析
本题主要考查了一些常见离子的检验方法、溶液中离子浓度的测定、物质的除杂以及溶液 pH 的测定等知识点。
A 选项溶液中若有

B 选项虽然溶液中

C 选项金属Na与水和乙醇都会反应,不能用其除去乙醇中的水,该选项不合理。
D 选项
故本题答案为:A。
故选A。
环六糊精(D-吡喃葡萄糖缩合物)具有空腔结构,腔内极性较小,腔外极性较大,可包合某些分子形成超分子。图1、图2和图3分别表示环六糊精结构、超分子示意图及相关应用。下列说法错误的是
正确答案
解析
这道题主要考查了对有机化合物相关知识的理解,包括糖的分类、环六糊精的结构与性质、分子的极性以及一些分离方法等知识点。
A 选项因为 1mol 糖水解后能产生 2~10mol 单糖的糖称为寡糖或者低聚糖,而环六糊精是葡萄糖的缩合物,所以它属于寡糖,A 正确。
B 选项要形成超分子,分子的直径需与环六糊精的空腔尺寸匹配,不是所有非极性分子都能被包合形成超分子,B 错误。
C 选项由于环六糊精腔内极性小能包合苯环,腔外极性大,所以会将极性基团甲氧基暴露在反应环境中,C 正确。
D 选项环六糊精空腔外有多个羟基能与水形成分子间氢键从而溶解在水中,而氯代苯甲醚不溶于水,可用水作为萃取剂分离两者,D 正确。
故本题答案为:B。
异山梨醇是一种由生物质制备的高附加值化学品:150℃时其制备过程及相关物质浓度随时间变化如图所示,15h后异山梨醇浓度不再变化。下列说法惜误的是
正确答案
解析
本题主要考查了化学反应速率、化学平衡以及平衡常数等知识点
A 选项从图中可以看出,3 小时后异山梨醇浓度还在继续增大,直到 15 小时后才不再变化,说明 3 小时时反应②并没有达到平衡状态,那么正、逆反应速率就不相等,A 错误。
B 选项图像显示在该温度下,15 小时后所有物质浓度都不再变化,此时山梨醇已经转化完全,而 1,4-失水山梨醇还有剩余,这意味着反应②正向进行的程度小于反应①,即反应限度小于反应①,所以该温度下的平衡常数:①>②,删除B 正确。
C 选项由图可知,0 到 3 小时内异山梨醇的浓度变化量为 0.042mol/kg,所以
D 选项催化剂只能改变反应速率,而不能改变反应的平衡转化率,所以反应②加入催化剂不改变其平衡转化率,D 正确。
故本题答案为:A。
如下反应相关元素中,W.X,Y、Z为原子序数依次增大的短周期元素,基态X原子的核外电子有5种空间运动状态,基态Y、z原子有两个未成对电子,Q是ds区元素,焰色试验呈绿色。下列说法错误的是
正确答案
解析
本题主要考查了元素周期表、原子结构、物质性质等知识点
A 选项根据分析可知,W、Y、Z分别为H、O、S,S单质常温下呈固态,其沸点高于氧气和氢气,






B 选项Y 、X的简单氢化物分别为





C 选项硫酸铜溶液中滴加氨水,氨水不足时生成蓝色沉淀氢氧化铜,氨水过量时氢氧化铜溶解,生成
D 选项
“绿色零碳”氢能前景广阔。为解决传统电解水制“绿氢”阳极电势高、反应速率缓慢的问题,科技工作者设计耦合


正确答案
解析
这道题主要考查了包括电极反应、离子的移动方向、产量计算等,同时也涉及到对一些新信息的理解和应用等知识点
A 选项由题干中给出的反应机理可知,阳极反应:






B 选项阴极水得电子生成氢气,阴极反应为
C 选项由电极反应式可知,电解过程中阴极生成

D 选项由以上分析可知,阳极反应涉及到:


故本题答案为:A。
某工厂利用铜屑脱除锌浸出液中的


锌浸出液中相关成分(其他成分无干扰)
正确答案
解析
这道题主要考核了化学反应、化合价变化、离子反应等知识点
A 选项由分析可知,“浸铜”时铜屑不能溶解完全,因为Cu在“脱氯”步骤还需要充当还原剂,A 错误。
B 选项“浸铜”时,铜屑中加入



C 选项“脱氯”步骤中仅Cu元素的化合价发生改变,得到CuCl固体,即Cu的化合价升高,

D 选项脱氯液净化后电解,
故本题答案为:C。
某锂离子电池电极材料结构如图。结构1是钴硫化物晶胞的一部分,可代表其组成和结构;晶胞2是充电后的晶胞结构:所有品胞均为立方晶胞。下列说法错误的是
正确答案
解析
本题主要考查了晶胞的相关知识呀,包括从晶胞结构确定物质的化学式,以及晶胞中原子间距离和原子间相对位置等方面的内容,还有从晶胞结构判断晶胞是否相同
A 选项通过均摊法计算,结构 1 中含有的Co数目为4+4*1/8,含有的S数目为1+12*1/4,所以Co与S的原子个数比为9:8,结构 1 的化学式为
B 选项由图可知,晶胞 2 中S与S的最短距离为面对角线的1/2,晶胞边长为a,则最短距离为

C 选项从图中可以看出,以图中的Li为例,与其最近的S共有 4 个,C 正确。
D 选项从图中可以看出,当把 2 个晶胞 2 放在一起时,图中红框截取的部分就是晶胞 3,所以晶胞 2 和晶胞 3 表示同一晶体,D 正确。
故本题答案为:B。








已知:①
②相同条件下

③


下列说法错误的是
正确答案
解析
本题主要考查了沉淀溶解平衡相关的知识,包括沉淀溶解平衡曲线的分析、平衡常数的计算、指示剂浓度的确定以及不同离子浓度关系的判断等。同时还涉及到对数的运算等知识点
A 选项根据溶解度大小关系及曲线位置,可判断曲线②为AgCl沉淀溶解平衡曲线,A 正确。
B选项根据平衡常数表达式及相关数据计算可得反应

C 选项当


D 选项当

故本题答案为:D。
(14分)中国是世界上最早利用细菌冶金的国家。已知金属硫化物在“细菌氧化”时转化为硫酸盐,某工厂用细菌冶金技术处理载金硫化矿粉(其中细小的


回答下列问题:
(1)北宋时期我国就有多处矿场利用细菌氧化形成的天然“胆水”冶炼铜,“胆水”的主要溶质为____(填化学式).
(2)“细菌氧化”中,
(3)“沉铁砷”时需加碱调节

(4)“焙烧氧化”也可提高“没金”效率,相比“焙烧氧化”,“细菌氧化”的
优势为____(填标号).
A.无需控温
B.可减少有害气体产生
C.设备无需耐高温
D.不产生废液度渣
(5)“真金不拍火炼”,表明


(6)“沉金”中
(7)滤液②经




正确答案
(1)
(3)
(7)
解析
本题主要考查了化学式、离子方程式的书写,胶体的形成,以及对一些工艺过程的分析理解,包括不同氧化方法的比较等知识点,同时还涉及到化学反应中物质的作用和转化等内容。
第(1)问
“胆水”冶炼铜,胆水的主要溶质为硫酸铜,化学式为
第(2)问
“细菌氧化”的过程中,FeS2在酸性环境下被


第(3)问
“沉铁砷”时,加碱调节PH值,


第(4)问
A.细菌的活性与温度息息相关,因此细菌氧化也需要控温,A 不符合题意;
B.焙烧氧化时,金属硫化物中的S元素通常转化为
C.焙烧氧化需要较高的温度,因此所使用的设备需要耐高温,而细菌氧化不需要较高的温度就可进行,设备无需耐高温,C 符合题意;
D.由流程可知,细菌氧化也会产生废液废渣,D 不符合题意;故选 BC。
第(5)问
“浸金”中,NACN做络合剂,将Au转化为
第(6)问
“沉金”中Zn作还原剂,
第(7)问
第一步:滤液②含有


某实验小组为实现乙酸乙酯的绿色制备及反应过程可视化,设计实验方案如下:
I.向






II.加热回流
III.冷却后,向烧瓶中缓慢加入饱和

IV.洗涤有机相后,加入无水
V.蒸馏滤液,收集


回答下列问题:
(1)

(2)甲基紫和变色硅胶的颜色变化均可指示反应进程,变色硅胶吸水,除指示反皮进程外,还可___。
(3)使用小孔冷凝柱承载,而不向反应液中直接加入变色硅胶的优点是___(填标号)
A.无需分离
B.增大读反应平街常数
C.起到沸石作用,防止暴沸
D.不影响甲基紫指示反应进程
(4)下列仪器中,分离有机相和洗涤有机相时均需使用的是___(填名称)。
(5)该实验乙酸乙酯的产率为___(精确至0.1%)。
(6)若改用

正确答案
(1)催化,无有害气体二氧化硫产生。
(2)吸收生成的水,平行正向移动,提高乙酸乙酯产率。
(3)AD
(4)分液漏斗
(5)73.5%
(6)90
解析
本题考查物质的制备,侧重考查阅读、分析、判断及计算能力,明确实验原理、各个装置的作用、方程式的计算方法等知识点
第(1)问
该实验可实现乙酸乙酯的绿色制备及反应过程可视化,用浓



第(2)问
变色硅胶吸水,除指示反应进程外,还可吸收加热时生成的水,使平衡正向移动,提高乙酸乙酯的产率。
第(3)问
A.若向反应液中直接加入变色硅胶,则反应后需要过滤出硅胶,而使用小孔冷凝柱承载则无需分离,故 A 正确;
B.反应的平衡常数只与温度有关,使用小孔冷凝柱承载不能增大该反应平衡常数,故 B 错误;
C.小孔冷凝柱承载并没有投入溶液中,不能起到沸石作用,不能防止暴沸,故 C 错误;
D.由题中“反应液由蓝色变为紫色,变色硅胶由蓝色变为粉红色,停止加热”可知,若向反应液中直接加入变色硅胶,则变色硅胶由蓝色变为粉红色,会影响观察反应液由蓝色变为紫色,所以使用小孔冷凝柱承载不影响甲基紫指示反应进程,故 D 正确。
第(4)问
容量瓶用于配制一定物质的量浓度的溶液,分离有机相和洗涤有机相不需要容量瓶;漏斗用于固液分离,分离有机相和洗涤有机相不需要漏斗;分离液态有机相和洗涤液态有机相也不需要洗气瓶;分离有机相和洗涤有机相时均需使用的是分液漏斗。
第(5)问
由反应
为实现氯资源循环利用,工业上采用








回答下列问题:
(1)

(2)结合以下信息,可知




(3)下列措施可提高M点
A.增大HCI的流速
B.将温度升高
C.增大
D.使用更高效的催化剂
(4)图中较高流速时,


(5)设N点的转化率为平衡转化率,则该温度下反应的平衡常数
(6)负载在






正确答案
(1)<;360
(2) -285.8
(3)BD
(4)流速过快,反应物分子来不及在催化剂表面接触而发生反应,导致转化率下降,同时T3温度低,反应速率低,故单位时间内氯化氢转化率低。
(5)6
(6)101
解析
本题考查化学平衡计算、化学平衡影响因素、晶胞的计算等知识点。
(1) 反应





(2) 表示氢气燃烧热的热化学方程式为


(3) A.增大HCl的流速,由图像可知,HCl的转化率在减小,不符合题意;
B.M对应温度为360℃,由图像可知,升高温度,HCl的转化率增大,符合题意。
C.增大
D.使用高效催化剂,可以增加该温度下的反应速率,使单位时间内HCl的转化率增加,符合题意; 故选BD。
(4) 图中在较高流速下,



(5) 由图像可知,N点HCl的平衡转化率为80%,设起始
则
(6) 由于二者的晶体结构相似,体积近似相等,则其密度之比等于摩尔质量之比。故
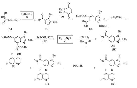
特戈拉赞(化合物K)是抑制胃酸分泌的药物,其合成路线如下:
已知
I.


II.



回答下列问题:
(1)B中含氧官能团只有醛基,其结构简式为__
(2)G中含氧官能团的名称为____和____.
(3)J→K
(4)D的同分异构体中,与D官能团完全相同,且水解生成丙二酸的有____种(不考虑立体异构)
(5)E→F转化可能分三步:①E分子内的咪唑环与羧基反应生成X;②X快速异构化为Y,图Y与
(6)苯环具有与咪唑环类似的性质。参考B→X的转化,设计化合物I的合成路线如下(部分反应条件己略去)。其中M和N的结构简式为_______和_______。
正确答案
(1)
(2)羟基,羧基
(3)取代
(4)6
(5)
(6)
解析
本题主要考查了有机化学中的官能团的识别(如醛基、羟基、酯基等)、同分异构体的判断与书写、反应类型的确定(如水解反应等)、有机反应方程式的书写以及根据给定信息进行有机合成路线的设计和推断等知识点。
(1)根据分子式,有机物B的结构为
(2)根据分析,有机物G的结构为
(3)据分析
(4)D的同分异构体中,与D的官能团完全相同,说明有酯基的存在,且水解后生成戍丙二酸,说明主题结构中含有:
根据D的分子式,剩余的C原子数为5,剩余H原子单独连接在某一端的O原子上,因此将5个碳原子拆分。当一侧连接甲基时,另一侧连接



(5)据已知条件和题中三步反应,第三步反应为酚羟基与乙酸酐的反映生成有机物F则有机物Y为:
根据异构化原理,有机物X的结构为:
反应第③步的化学程式为:
(6)据逆推法有机物N发生异构化生成目标化合物,发生的异构化反应为后者的反应,有机物N为:
有机物M有前置原料氧化得到,有机物M发生异构化前者的反应生成有机物N,有机物M为:














































































