- 真题试卷
- 模拟试卷
- 预测试卷

正确答案
设全集



正确答案
如图,网格纸上绘制的是个零件的三视图,网格小正方形的边长为1,则该零件的表面积( )
正确答案
在





正确答案
已知函数
正确答案
正方形



正确答案
已知




正确答案
函数

正确答案
某学校举办作文比赛,共6个主题,每位参赛同学从中随机抽取一个主题准备作文,则甲、乙两位参赛同学抽到不同主题概率为( )
正确答案
函数





正确答案
已知实数


正确答案
设


正确答案
已知点



正确答案
若

正确答案
若


正确答案
8
已知点




正确答案
2
某厂为比较甲乙两种工艺对橡胶产品伸缩率的处理效应,进行10次配对试验,每次配对试验选用材质相同的两个橡胶产品,随机地选其中一个用甲工艺处理,另一个用乙工艺处理,测量处理后的橡胶产品的伸缩率.甲、乙两种工艺处理后的橡胶产品的伸缩率分别记为 
记


求
(2)判断甲工艺处理后的橡胶产品的伸缩率较乙工艺处理后的橡胶产品的伸缩率是否有显著提高(如果
【答案】
(1)
(2)认为甲工艺处理后的橡胶产品的伸缩率较乙工艺处理后的橡胶产品的伸缩率有显著提高.
正确答案
解析
(1)
(2)
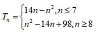
记


(1)求
(2)求数列


正确答案
(1)
(3)
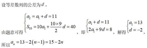
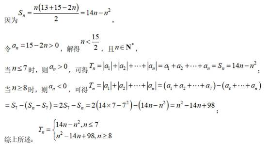
解析
(1)
(2)
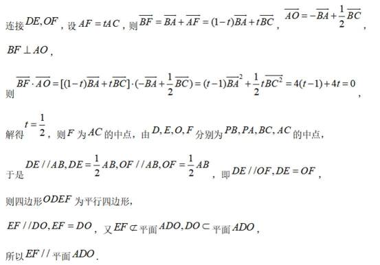
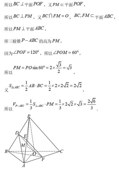
如图,在三棱雉




(1)求证:
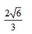
(2)若

正确答案
(1)
(2)
解析
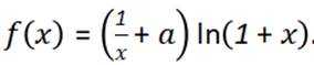
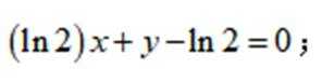
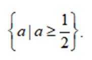
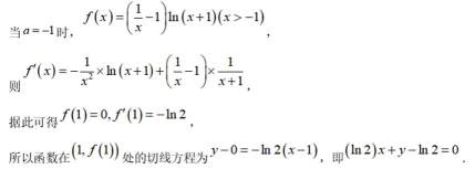
已知函数
当


(2)若函数


正确答案
(1)
(2)
解析
(1)
(2)
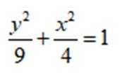
已知椭圆



(1)求
(2)过点






正确答案
(1)
(2)
选做题
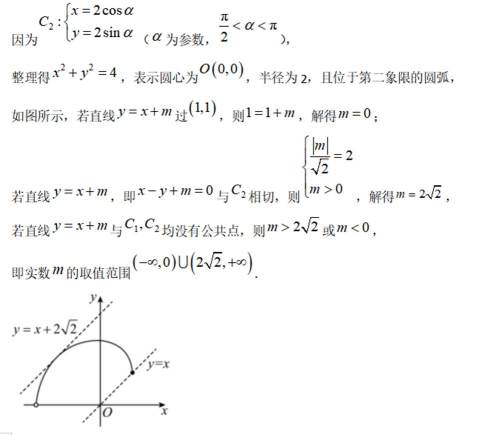
在直角坐标系




(1)写出
(2)若直线



已知
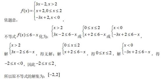
求不等式
在直角坐标系x0y中,求不等式组
正确答案
(1)
(2)
解析
(1)
(2)
正确答案
(1)
(2)6
解析
(1)
(2)















































































