- 真题试卷
- 模拟试卷
- 预测试卷
1.已知全集


正确答案
解析
解析已在路上飞奔,马上就到!
知识点
2.已知


正确答案
解析
解析已在路上飞奔,马上就到!
知识点
3.设

①若

②若

③若

④若

其中真命题个数是 ( ).
正确答案
解析
解析已在路上飞奔,马上就到!
知识点
4.阅读右图所示的程序框图,运行相应的程序,输出的结果是( )
正确答案
解析
解析已在路上飞奔,马上就到!
知识点
5.在



正确答案
解析
解析已在路上飞奔,马上就到!
知识点
6.设




正确答案
解析
解析已在路上飞奔,马上就到!
知识点
10. 如图,


















正确答案
解析
解析已在路上飞奔,马上就到!
知识点
7.若一系列函数的解析式相同,值域相同,但定义域不同,则称这些函数为“孪生函数”,例如解析式为
(1)
(2)
(3)
那么函数解析式为

正确答案
解析
解析已在路上飞奔,马上就到!
知识点
8.已知变量

正确答案
解析
解析已在路上飞奔,马上就到!
知识点
9.函数







正确答案
解析
解析已在路上飞奔,马上就到!
知识点
12.已知函数




正确答案
解析
解析已在路上飞奔,马上就到!
知识点
13.已知抛物线




正确答案
解析
解析已在路上飞奔,马上就到!
知识点
14.已知函数



正确答案
解析
解析已在路上飞奔,马上就到!
知识点
11.抛物线

正确答案
解析
解析已在路上飞奔,马上就到!
知识点
15.方程


①
②函数
③函数
④若函数



其中所有正确的命题序号是
正确答案
①②③
解析
解析已在路上飞奔,马上就到!
知识点
16.在△ABC中,三个内角


(1)求证:△ABC是直角三角形;
(2)设圆



正确答案
解析
解析已在路上飞奔,马上就到!
知识点
17.某班50名学生在一次百米测试中,成绩全部介于13秒与18秒之间,将测试结果按如下方式分成五组:每一组


(1)若成绩大于或等于14秒且小于16秒认为良好,求该班在这次百米测试中成绩良好的人数;
(2)设


正确答案
解析
解析已在路上飞奔,马上就到!
知识点
19.已知函数


(1)求数列
(2)证明:

(3)在点列
正确答案
解析
解析已在路上飞奔,马上就到!
知识点
20.设





(1)求椭圆C的标准方程;
(2)若过点

(3)求三角形
正确答案
解析
解析已在路上飞奔,马上就到!
知识点
18.如图,在四棱锥




(1)若


(2)点





正确答案
解析
解析已在路上飞奔,马上就到!
知识点
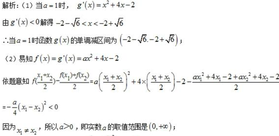
21.已知函数


(1)若

(2)若对任意



(3)在第(2)问求出的实数


正确答案
解析
解析已在路上飞奔,马上就到!








































