- 真题试卷
- 模拟试卷
- 预测试卷
7. 设正项等比数列





正确答案
解析
解析已在路上飞奔,马上就到!
知识点
10. 若定义在正整数有序对集合上的二元函数f满足:
①f(x,x)=x,
②f(x,y)=f(y,x)
③(x+y)f(x,y)=yf(x,x+y),
则f(12,16)的值是( )
正确答案
解析
解析已在路上飞奔,马上就到!
知识点
2. 已知集合


正确答案
解析
解析已在路上飞奔,马上就到!
知识点
3.若




正确答案
解析
解析已在路上飞奔,马上就到!
知识点
8. 已知向量





正确答案
解析
解析已在路上飞奔,马上就到!
知识点
1.已知


正确答案
解析
解析已在路上飞奔,马上就到!
知识点
6. 如果
正确答案
解析
解析已在路上飞奔,马上就到!
知识点
9.已知函数f(x)=log2(x2-ax+3a)在区间[2,+∞)上递增,则实数a的取值范围是( )
正确答案
解析
解析已在路上飞奔,马上就到!
知识点
4.如图,正方形





正确答案
解析
解析已在路上飞奔,马上就到!
知识点
5.设






正确答案
解析
解析已在路上飞奔,马上就到!
知识点
11. 设实数



正确答案
解析
解析已在路上飞奔,马上就到!
知识点
12. 执行下面的程序框图,如果输入的n是4,则输出的p的值
正确答案
3
解析
解析已在路上飞奔,马上就到!
知识点
13. 对于三次函数







正确答案
解析
解析已在路上飞奔,马上就到!
知识点
选做题(14-15题,只能从中选做一题. 两题都答的按第14题正误给分.)
14.(极坐标与参数方程选做题)
极坐标系下,圆

15.(几何证明选讲选做题)
如图,







正确答案
14.
15.
解析
解析已在路上飞奔,马上就到!
知识点
18. 已知向量

(1)求函数

(2)若△ABC的角A、B所对的边分别为




正确答案
解析
解析已在路上飞奔,马上就到!
知识点
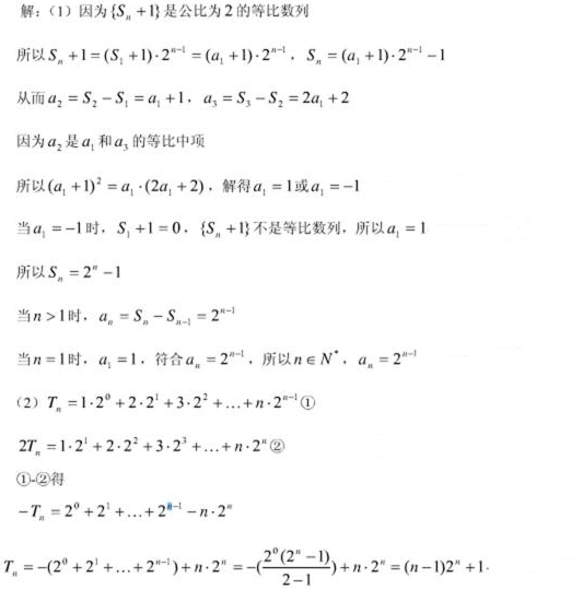
16.已知数列







(1)求数列
(2)求数列


正确答案
解析
解析已在路上飞奔,马上就到!
知识点
19. 如图1,三棱柱






(1)求证:平面
(2)设




(3)求图2中几何体的体积.
正确答案
解析
解析已在路上飞奔,马上就到!
知识点
17.一汽车厂生产A,B,C三类轿车, 每类轿车均有舒适型和标准型两种型号, 某月的产量如表所示(单位:辆),若按A, B, C三类用分层抽样的方法在这个月生产的轿车中抽取50辆, 则A类轿车有10辆.
(Ⅰ)求z的值;
(Ⅱ)用随机抽样的方法从B类舒适型轿车中抽取8辆, 经检测它们的得分如下: 9.4, 8.6, 9.2, 9.6, 8.7, 9.3, 9.0, 8.2. 把这8辆轿车的得分看作一个总体, 从中任取一个分数





正确答案
解析
解析已在路上飞奔,马上就到!
知识点
20. 已知b>


(Ⅰ)设

(Ⅱ)设


(Ⅲ)是否存在常数c,使得函数

正确答案
解析
解析已在路上飞奔,马上就到!
知识点
21.如图,已知抛物线











(Ⅰ)求抛物线
(Ⅱ)当


(Ⅲ)若直线



正确答案
解析
解析已在路上飞奔,马上就到!









































