- 真题试卷
- 模拟试卷
- 预测试卷
依据《安全生产法》的规定,承担安全评价、认证、检测、检验工作的机构,出具虚假证明,给他人造成损害的,与生产经营单位承担( )责任。
A.连带
B.赔偿
C.连带赔偿
D.共同
正确答案
C
解析
暂无解析
《安全生产法》对安全生产监督检查人员履行职责提出的要求包括( )。
A.忠于职守,坚持原则,秉公执法
B.执行监督检查任务时,必须出示有效的监督执法证件
C.不准为生产经营单位提供技术咨询服务
D.必须严格按照程序履行职责,规范执法,保守秘密
E.履行监督检查职责不得影响被检查单位的正常生产经营活动
正确答案
A,B,D,E
解析
暂无解析
依据《安全生产许可证条例》的规定,国家对下列( )实行安全生产许可证制度。
A.机械加工企业
B.建筑施工企业
C.危险化学品生产企业
D.民用爆破器材生产企业
E.矿山企业
正确答案
B,C,D,E
解析
暂无解析
《安全生产法》规定了生产经营单位的主要负责人的六项安全生产工作职责,这六项安全生产主要职责包括( )。
A.给本单位的职工买医疗保险
B.组织制定本单位安全生产规章制度和操作规程
C.保证本单位安全生产投入的有效实施
D.给本单位的职工买工伤保险
E.建立、健全本单位安全生产责任制
正确答案
B,C,E
解析
暂无解析
依据《工伤保险条例》的规定,下列( )情况,不能定为工伤或视同工伤。
A.因公外出期间,由于工作原因受到伤害或者发生事故下落不明的
B.在工作期间和工作岗位,突发疾病并在三天后死亡的
C.在抢险救灾活动中受到伤害的
D.在工作场所酗酒导致伤亡的
E.在工作场所自残或自杀的
正确答案
B,D,E
解析
暂无解析
依据《安全生产法》的规定,对安全设备还必须进行经常性的维护、保养,并 ( )检测,以保证正常运转,维护、保养、检测还应当做好记录。
A.定期
B.不定期
C.经常
D.每月
正确答案
A
解析
暂无解析
企业从业人员协调与上司之间的关系,其正确的做法是()
A.如果认为上司委派自己的工作不合理,可以直接拒绝
B.对上司委派而自己干不了或干不好的工作,不能推辞
C.尊重上司的隐私,不在背地议论上司
D.对上司的错误指责,要敢于当面争辩以维护自身利益
正确答案
C
解析
暂无解析
依据《建设工程安全生产管理条例》的规定,建设单位应当将拆除工程15日前,将下列( )资料报送建设工程所在地县级人民政府建设行政主管部门。
A.施工单位资质登记证明
B.拟拆除建筑物、构筑物及可危及毗邻建筑物的证明
C.事故应急救援预案
D.堆放、清除废弃物的措施
E.公安机关的批准书
正确答案
A,B,D
解析
暂无解析
依据《安全生产法》规定,危险物品的生产、经营、储存单位以及矿山、建筑施工单位的主要负责人和安全生产管理人员,应当由有关主管部门对其( )考核合格后方可任职。考核不得收费。
A.安全生产知识
B.安全评价常识
C.管理能力
D.操作能力
E.作业资格
正确答案
A,C
解析
暂无解析
如图,过抛物线




22.若


23.过点







正确答案
详见解析
解析
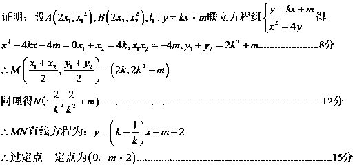
解:设 A(



∵


因为
则

又因为

考查方向
抛物线的简单性质与应用
解题思路
设l1:y=kx+m,与抛物线方程联立方程组消元,根据根与系数的关系计算
易错点
计算能力弱
正确答案
详见解析
解析
考查方向
抛物线的简单性质
直线与圆锥曲线的综合题
解题思路
由(I)中的方程组得出x1+x2,y1+y2,得出AB的中点M的坐标,同理得出CD的中点N的坐标,得出MN的直线方程,化为斜截式方程得出定点坐标.
易错点
对直线与圆锥曲线的位置关系掌握不好,计算能力弱
依据《注册安全工程师管理规定》,注册安全工程师实行分类注册,注册类别包括 ( )。
A.煤矿安全
B.非煤矿矿山安全
C.建筑施工安全
D.危险物品安全
E.烟花爆竹安全
正确答案
A,B,C,D
解析
暂无解析
《消防法》规定,生产易燃易爆危险物品的单位,对产品应当( )。
A.附有燃点数据的说明书
B.附有闪点数据的说明
C.附有爆炸极限数据的说明书
D.附有安全标志的说明书
E.注明防火防爆注意事项
正确答案
A,B,C,E
解析
暂无解析
已知
16. 试求函数
17.△


求
正确答案
详见解析
解析
解:



考查方向
三角函数的化简
求三角函数的单调区间
解题思路
根据三角函数的性质化简成同名同角三角函数,然后判断其单调区间
易错点
计算化简错误
正确答案
详见解析
解析


当
考查方向
三角函数的化简
平均值不等式的应用
解题思路
先化简成利用平均值不等式的一般形式,然后用平均值不等式求出最值
易错点
就算化简错误
在数列

18.求证:数列

19.若


正确答案
详见解析
解析
解:由

又

∴

考查方向
数列与不等式的综合;等差数列的通项公式
解题思路
已知等式两边同除anan+1化简后,根据等差数列的定义可证数列为等差数列,由等差数列的通项公式求出{an}的通项公式;
易错点
计算化简错误,数列相关性质掌握混淆
正确答案
详见解析
解析
法1:
∵


∴

设
∴当

∴
所以

法2
∵


∴

令
令

∴

考查方向
数列与不等式的综合;等差数列的通项公式
解题思路
由(Ⅰ)和分离常数法化简不等式,利用作差法判断数列的单调性,再求出t的取值范围
易错点
对数列的定义、通项公式等相关概念和性质掌握不牢
已知二次函数
24.当



25.若


26.在(II)条件下若



正确答案
详见解析
解析


解得

考查方向
二次函数与方程之间的关系
函数综合题
解题思路
利用所给条件求出b和c的值,因此求出函数的解析式
易错点
化简错误,解方程错误
正确答案
详见解析
解析
又


考查方向
函数与不等式综合题
利用不等式恒成立的条件,求参数的取值范围
解题思路
根据不等式恒成立,利用不等式和函数的性质和特征运算化简,可得参数的取值范围
教师点评
逻辑关系混乱,不等式化简失误
正确答案
详见解析
解析
由


考查方向
不等式和函数的综合题
利用函数性质证明不等式
解题思路
先根据题意,表示出a、b、c的值,然后根据不等式的性质,化简计算,证明出不等式的结论
易错点
不能够造出适当的函数,不会利用不等式求函数的最值
7.已知集合


得





其中是“
正确答案
解析
易知(1,0)∈M,但不存在(0,y)∈M,故①不正确;
故排除C,D;设(x1,y1)∈M,(x2,y2)∈M,
则
由基本不等式可知:最小值为2,所以“3”不正确,故排除A,所以选B
考查方向
集合的表示法
新定义的集合的特征
解题思路
观察选项,利用排除法确定答案
易错点
对新定义的性质掌握不好,基本不等式掌握不牢固
知识点
8.如图,已知棱长为







正确答案
解析
满足PM=PD的点P的轨迹是过MD的中点,且与MD垂直的平面,∵P是△A′C′D内(包括边界)的动点,∴点P的轨迹是两平面的交线ST.T在中点,S在4等分点时,
所以选D
考查方向
棱柱的结构特征
解题思路
满足PM=PD的点P的轨迹是过MD的中点,且与MD垂直的平面,根据P是△A′C′D内(包括边界)的动点,可得点P的轨迹是两平面的交线ST.T在中点,S在4等分点,利用余弦定理,求出ST即可.
易错点
立体感不强,不会求轨迹方程
知识点
5.已知
正确答案
解析
由三角形的三遍关系和向量的集合意义得到


考查方向
平面向量 数量积的运算
解题思路
根据平面向量数量积的定义与运算性质,对每个选项判断即可
易错点
对平面向量的数量积的性质掌握不牢固
知识点
12.已知



正确答案
16;
解析
考查方向
平均值不等式的性质和运算
解题思路
根据平均值不等式的性质结合题木求出最大值和最小值
易错点
计算化简错误
知识点
14.已知



正确答案
解析
f(x)=x2+2bx+c的对称轴是x=-b,
∴1<-b<5,即-5<b<-1,
而f(x)的最小值是c-b2,
由题意得:c<b2,
故f(1)•f(5)=(2b+c+1)(10b+c+25)>0,
f(1)•f(5)=(2b+c+1)(10b+c+25)<(2b+b2+1)(10b+b2+25)=[(b+1)(b+5)]2,
由-5<b<-1,得:-4<b+1<0,0<b+5<4,
∴-16<(b+1)(b+5)<0,
∴f(1)•f(5)<(-16)2=256,
故答案为:(0,256).
考查方向
二次函数的性质
解题思路
表示出f(x)的对称轴,得到-5<b<-1,同时c<b2,求出f(1)•f(5)=[(b+1)(b+5)]2,由-5<b<-1,得:-4<b+1<0,0<b+5<4,从而求出f(1)•f(5)的值即可
易错点
对二次函数的性质把握不好,计算化简错误













































