试卷目录
1、单选题
1
2
3
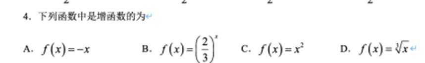
4
5
6
7
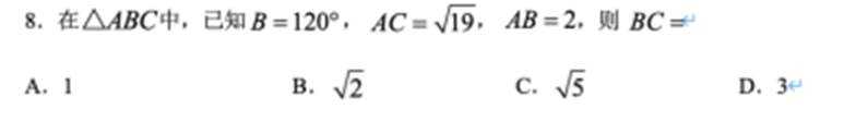
8
9
10
11
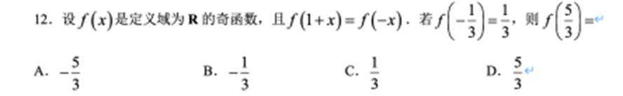
12
2、填空题
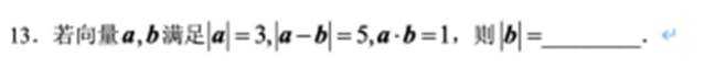
13
14
15
16
17
18
19
20
21
22
- 真题试卷
- 模拟试卷
- 预测试卷
单选题
本大题共12小题,每小题5分,共60分。在每小题给出的4个选项中,有且只有一项是符合题目要求。
1
题型:
单选题
|
分值: 5分
正确答案
B
1
题型:
单选题
|
分值: 5分
正确答案
C
1
题型:
单选题
|
分值: 5分
正确答案
B
1
题型:
单选题
|
分值: 5分
正确答案
D
1
题型:
单选题
|
分值: 5分
正确答案
A
1
题型:
单选题
|
分值: 5分
正确答案
C
1
题型:
单选题
|
分值: 5分
正确答案
D
1
题型:
单选题
|
分值: 5分
正确答案
D
1
题型:
单选题
|
分值: 5分
正确答案
A
1
题型:
单选题
|
分值: 5分
正确答案
C
1
题型:
单选题
|
分值: 5分
正确答案
A
1
题型:
单选题
|
分值: 5分
正确答案
C
填空题
本大题共10小题,每小题5分,共50分。把答案填写在题中横线上。
1
题型:填空题
|
分值: 5分
正确答案
1
题型:填空题
|
分值: 5分
正确答案
1
题型:填空题
|
分值: 5分
正确答案
1
题型:填空题
|
分值: 5分
正确答案
8
1
题型:填空题
|
分值: 12分
正确答案
(1)75%;60%;(2)能.
1
题型:填空题
|
分值: 12分
正确答案
1
题型:填空题
|
分值: 12分
正确答案
1
题型:填空题
|
分值: 12分
正确答案
1
题型:填空题
|
分值: 12分
正确答案
1
题型:填空题
|
分值: 12分






























