试卷目录
1、单选题
1
2
3
4
5
6
7
8
9
10
11
12
2、填空题
13
14
15
16
3、简答题
17
18
19
20
21
22
23
- 真题试卷
- 模拟试卷
- 预测试卷
单选题
本大题共12小题,每小题5分,共60分。在每小题给出的4个选项中,有且只有一项是符合题目要求。
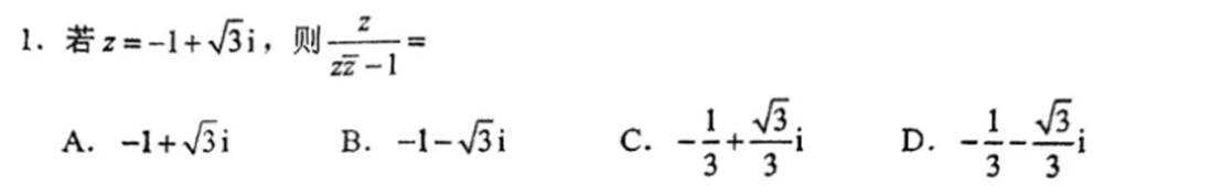
1
题型:
单选题
|
分值: 5分
正确答案
C
1
题型:
单选题
|
分值: 5分
正确答案
B
1
题型:
单选题
|
分值: 5分
正确答案
D
1
题型:
单选题
|
分值: 5分
正确答案
B
1
题型:
单选题
|
分值: 5分
正确答案
A
1
题型:
单选题
|
分值: 5分
正确答案
B
1
题型:
单选题
|
分值: 5分
正确答案
D
1
题型:
单选题
|
分值: 5分
正确答案
B
1
题型:
单选题
|
分值: 5分
正确答案
C
1
题型:
单选题
|
分值: 5分
正确答案
A
1
题型:
单选题
|
分值: 5分
正确答案
C
1
题型:
单选题
|
分值: 5分
正确答案
A
填空题
本大题共4小题,每小题5分,共20分。把答案填写在题中横线上。
1
题型:填空题
|
分值: 5分
13.
正确答案
1
题型:填空题
|
分值: 5分
正确答案
1
题型:填空题
|
分值: 5分
正确答案
1
题型:填空题
|
分值: 5分
正确答案
简答题(综合题)
本大题共80分。简答应写出文字说明、证明过程或演算步骤。
1
题型:简答题
|
分值: 12分
正确答案
1
题型:简答题
|
分值: 12分
正确答案
1
题型:简答题
|
分值: 12分
正确答案
1
题型:简答题
|
分值: 12分
正确答案
1
题型:简答题
|
分值: 12分
正确答案
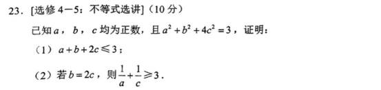
1
题型:简答题
|
分值: 10分
正确答案
1
题型:简答题
|
分值: 10分
正确答案
略


































