- 真题试卷
- 模拟试卷
- 预测试卷
设集合

正确答案
若复数
正确答案
执行下面的程序框图,输出的 B =
正确答案
向量


正确答案
已知数列



正确答案
有50人报名足球俱乐部,60人报名乒乓球俱乐部,结束70人报名足球或乒乓球俱乐部,若已知某人报足球俱乐部,则其报乒乓球,俱乐部的概率为
正确答案
“

正确答案
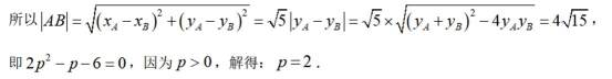
已知双曲线


正确答案
有五名志愿者参加社区服务,共服务星期六、星期天两天,每天从中任选两人参加服务,
则两天中恰有1人连续参加两天服务的选择种数为
正确答案
已知




正确答案
在四棱锥



正确答案
已知椭圆

正确答案
若
正确答案
2
设x,y满足约束条件

正确答案
15
在正方体

正确答案
12
已知△ABC中,



正确答案
2
已知数列



(1)求
(2)求数列
正确答案
(1)
(2)
在三棱柱





(1)证明:
(2)若直线



正确答案
(1)证明:
(2)解:
为探究某药物对小鼠的生长作用,将 40 只小鼠均分为两组,分别为对照组(不药物)
和实验组(加药物)。
(1)设其中两只小鼠中对照组小鼠数目为 X,求 X 的分布到和数学期望;
(2)测得 40 只小鼠体重如下(单位:g):(已按从小到大排好)
(i)求 40 只小鼠体重的中位数 m,并完成下面 2×2 列联表:
(ii)根据 2×2 列联表,能否有 95%的把握认为药物对小鼠
生长有抑制作用
参考数据:
正确答案
(1)依题意,

所以
(2)(i)依题意,可知这40只小鼠体重的中位数是将两组数据合在一起,从小到大排后第20位与第21位数据的平均数,由于原数据已经排好,所以我们只需要观察对照组第一排数据与实验组第二排数据即可,
可得第11位数据为

故第20位为

故列联表为:
(ii)由(i)可得,

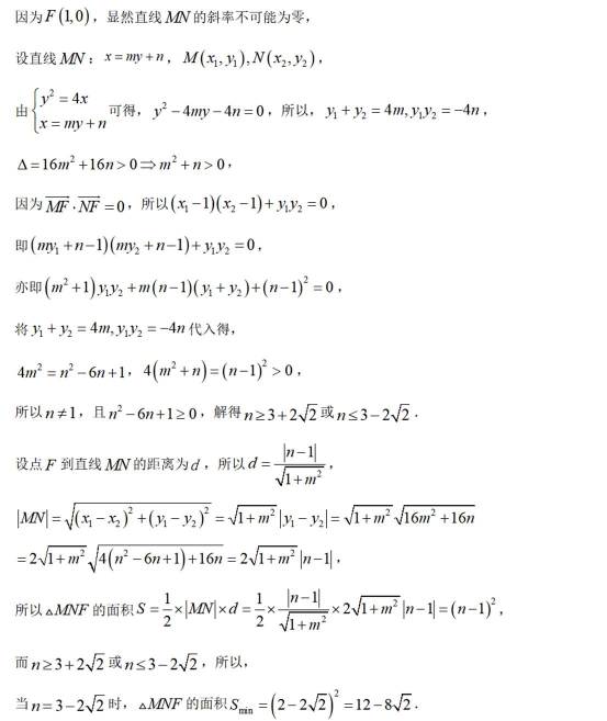
直线

(1)求P 的值;
(2)F为


正确答案
(1)解:
(2)解:
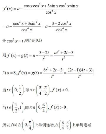
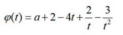
已知
(1)
(2)
正确答案
(1)解:
(2)解:
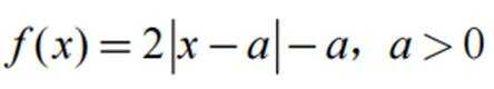
设
选做题
[选修 4—4:坐标系与参数方程]
已知

(1)求a 的值;
(2)以原点为极点,x轴正半轴为极轴建立极坐标系,求l的极坐标方程
[选修4—5:不等式选讲]
已知
(1)解不等式
(2)若
正确答案
(1)解:
(2)解:
正确答案
(1)解:
(2)解:




























































