- 真题试卷
- 模拟试卷
- 预测试卷
2. 若
正确答案
6.在平面内,



正确答案
9.右图为某几何体的三视图,则该几何体的表面积是
正确答案
10.设


正确答案
1. 已知集合


正确答案
3.设一组样本数据

正确答案
4. Logistic模型是常用数学模型之一,可应用于流行病学领域,有学者根据公布数据建立了某地区新冠肺炎累计确诊病例数






正确答案
5.已知
正确答案
7.设





正确答案
8.点

正确答案
11. 在


正确答案
12. 已知函数
正确答案
13. 若x,y满足约束条件
正确答案
13.7
14.设双曲线


正确答案
15. 设函数

正确答案
1
16. 已知圆锥的底面半径为1,母线长为3,则该圆锥内半径最大的切球表体积
正确答案
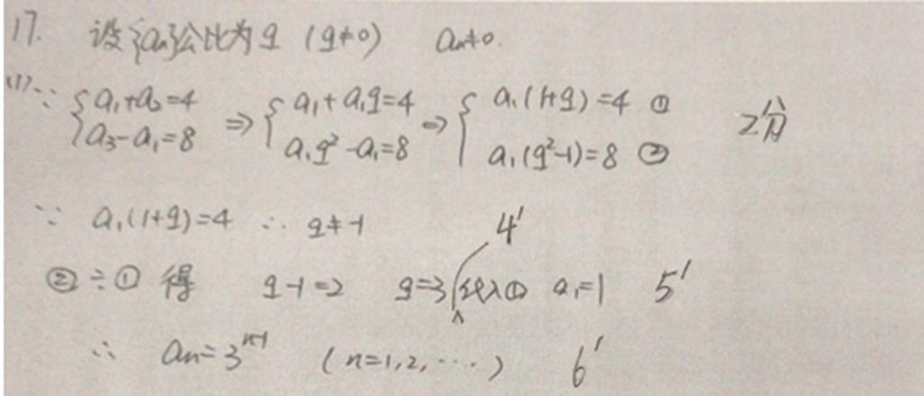
三、解答题:共70分。解答应写出文字说明、证明过程或演算步骤。第17~21题为必考题,每个试题考生都必须作答。第22、23题为选考题,考生根据要求作答。
(一)必考题:供60分。
(1) 求
正确答案
正确答案
20.(12分)
已知函数
正确答案
正确答案
18.(12分)
某学生兴趣小组随机调查了某市100天中每天的空气质量等级和当天到某公园锻炼的人次,整理数据得到下表(单位:天):
(1)分别估计该市一天的空气质量等级为1,2,3,4的概率;
(2)求一天中到该公园锻炼的平均人次的估计值(同一组中的数据用该组区间的中点值为代表);
正确答案
正确答案
正确答案
19.(12分)
如图,在长方体






正确答案
正确答案
21.(12分)
已知椭圆


正确答案
正确答案
(二)选考题:共10分,请考生在第22、23题中任选一题作答。如果多做,则按所做的第一题计分。
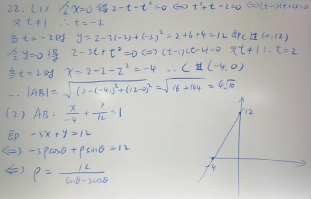
22. [选修4-4: 坐标系与参数方程] (10分)
在直角坐标系



(1) 求
(2) 以坐标原点为极点,

23. [选修4-5: 不等式选讲] (10分)
设
(1) 证明:
(2) 用

































































