- 真题试卷
- 模拟试卷
- 预测试卷
1.设全集


正确答案
解析
解析已在路上飞奔,马上就到!
知识点
6.如图程序运行后,输出的值是( )
正确答案
解析
解析已在路上飞奔,马上就到!
知识点
10. 已知函数

正确答案
解析
解析已在路上飞奔,马上就到!
知识点
2.函数
正确答案
解析
解析已在路上飞奔,马上就到!
知识点
3.已知复数
正确答案
解析
解析已在路上飞奔,马上就到!
知识点
4.已知数列


正确答案
解析
解析已在路上飞奔,马上就到!
知识点
5.若


正确答案
解析
解析已在路上飞奔,马上就到!
知识点
8.已知向量




正确答案
解析
解析已在路上飞奔,马上就到!
知识点
9. 已知函数




正确答案
解析
解析已在路上飞奔,马上就到!
知识点
7.袋中共有



正确答案
解析
解析已在路上飞奔,马上就到!
知识点
12.已知等差数列




正确答案
7或8
解析
解析已在路上飞奔,马上就到!
知识点
13.若某几何体的三视图 (单位:cm) 如图所示,则此几何体的表面积是__________cm
正确答案
2π
解析
解析已在路上飞奔,马上就到!
知识点
15.若函数


正确答案
解析
解析已在路上飞奔,马上就到!
知识点
14.已知正数


正确答案
解析
解析已在路上飞奔,马上就到!
知识点
11.某工厂生产





正确答案
72
解析
解析已在路上飞奔,马上就到!
知识点
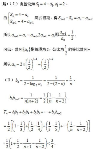
16.已知数列



(I)求数列
(II)设




正确答案
解析
解析已在路上飞奔,马上就到!
知识点
18.如图,四棱锥



(1)求证:平面

(2)当



(3)在(2)的条件下若F是PD的靠近P的一个三等分点,求二面角A-EF-D的余弦值.
正确答案
解析
解析已在路上飞奔,马上就到!
知识点
19.成都市为“市中学生知识竞赛”进行选拔性测试,且规定:成绩大于或等于90分的有参赛资格,90分以下(不包括90分)的则被淘汰。若现有500人参加测试,学生成绩的频率分布直方图如下:
(1)求获得参赛资格的人数;
(2)根据频率直方图,估算这500名学生测试的平均成绩;
(3)若知识竞赛分初赛和复赛,在初赛中每人最多有5次选题答题的机会,累计答对3题或答错3题即终止,答对3题者方可参加复赛,已知参赛者甲答对每一个问题的概率都相同,并且相互之间没有影响,已知他连续两次答错的概率为
正确答案
解析
解析已在路上飞奔,马上就到!
知识点
17.已知



(1)求角
(2)设向量


正确答案
解析
解析已在路上飞奔,马上就到!
知识点
20.已知函数
(1)若

(2)若存在实数


正确答案
解析
解析已在路上飞奔,马上就到!
知识点
21.已知函数

(Ⅰ)当
(Ⅱ) 当




正确答案
解析
解析已在路上飞奔,马上就到!











































