试卷目录
1、单选题
1
2
3
4
5
6
7
8
2、多选题
9
10
11
3、填空题
12
13
14
4、简答题
15
16
17
18
19
- 真题试卷
- 模拟试卷
- 预测试卷
单选题
本大题共8小题,每小题5分,共40分。在每小题给出的4个选项中,有且只有一项是符合题目要求。
1
题型:
单选题
|
分值: 5分
正确答案
C
解析
1
题型:
单选题
|
分值: 5分
正确答案
B
解析
1
题型:
单选题
|
分值: 5分
正确答案
B
解析
1
题型:
单选题
|
分值: 5分
正确答案
C
解析
中位数错误,标差介于200kg-300Kg之间
1
题型:
单选题
|
分值: 5分
正确答案
A
解析
1
题型:
单选题
|
分值: 5分
正确答案
D
解析
1
题型:
单选题
|
分值: 5分
正确答案
B
解析
1
题型:
单选题
|
分值: 5分
正确答案
C
解析
多选题
本大题共3小题,每小题6分,共18分。在每小题给出的4个选项中,有多项符合题目要求,全对得6分,选对但不全得3分,有选错的得0分。
1
题型:
多选题
|
分值: 6分
正确答案
B,C
解析
1
题型:
多选题
|
分值: 6分
正确答案
A,B,D
解析
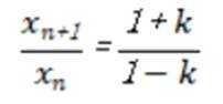
依次代入抛物线方程,联立求解,所以C错, ABD对
1
题型:
多选题
|
分值: 6分
正确答案
A,D
解析
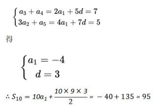
填空题
本大题共3小题,每小题5分,共15分。把答案填写在题中横线上。
1
题型:填空题
|
分值: 5分
正确答案
95
解析
考查正确应用等差数列的通项公式和求和公式
以及会解相关方程
1
题型:填空题
|
分值: 5分
正确答案
解析
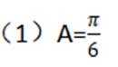
考查三角恒等式变形
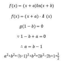
1
题型:填空题
|
分值: 5分
正确答案
24;58
解析
(1)41=4


(2) 分别列出,13,14,15,16最大,13+14+15+16=58.
简答题(综合题)
本大题共77分。简答应写出文字说明、证明过程或演算步骤。
1
题型:简答题
|
分值: 13分
正确答案
解析
1
题型:简答题
|
分值: 15分
正确答案
解析
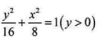
1
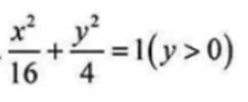
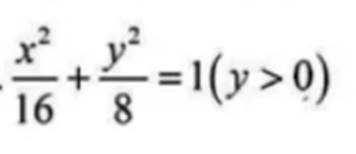
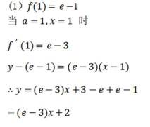
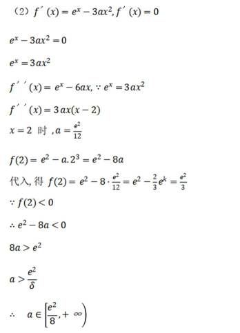
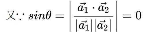
题型:简答题
|
分值: 15分
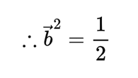
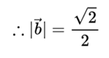
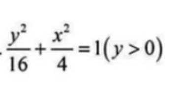
正确答案
(2)正弦值为0
解析
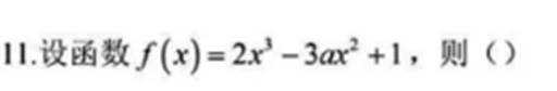
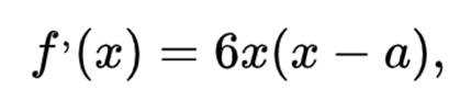
1
题型:简答题
|
分值: 17分
某投篮比赛分为两个阶段,每个参赛除由两名队员组成,比赛具体规则如下:第一阶段由参赛队中一名队员投篮3次,若3次都未投中,则该队被淘汰,比赛成员为0分,若至少被投中一次,则该队进入第二阶段,由该队的另一名队员投篮3次,每次投中得5分,未投中得0分,该队的比赛成绩为为第二阶段的得分总和。
正确答案
(1)0.686
(2)(i)乙
(ii)甲
解析
(1)
(2)
1
题型:简答题
|
分值: 17分
正确答案
(2)略
(3)略
解析
(1)
(2)
利用等性证明
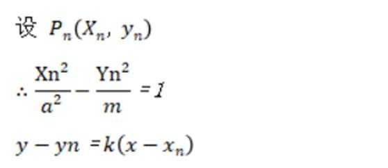
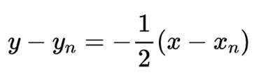
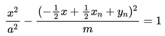
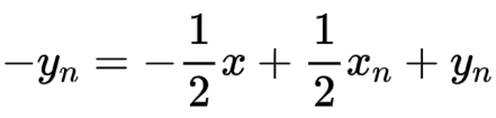
(3)
利用等比

















































































































