试卷目录
1、单选题
1
2
3
4
5
6
2、填空题
7
8
9
10
3、简答题
11
12
13
14
15
16
17
- 真题试卷
- 模拟试卷
- 预测试卷
单选题
本大题共6小题,每小题5分,共30分。在每小题给出的4个选项中,有且只有一项是符合题目要求。
1
题型:
单选题
|
分值: 5分
正确答案
B
解析
1
题型:
单选题
|
分值: 5分
正确答案
B
解析
1
题型:
单选题
|
分值: 5分
正确答案
C
解析
1
题型:
单选题
|
分值: 5分
正确答案
A
解析
1
题型:
单选题
|
分值: 5分
正确答案
C
解析
1
题型:
单选题
|
分值: 5分
正确答案
C
解析
填空题
本大题共4小题,每小题5分,共20分。把答案填写在题中横线上。
1
题型:填空题
|
分值: 5分
正确答案
5
解析
1
题型:填空题
|
分值: 5分
正确答案
解析
1
题型:填空题
|
分值: 5分
正确答案
64
解析
1
题型:填空题
|
分值: 5分
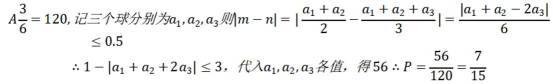
编号为1、2、3、4、5、6的六个小球,不放回的抽取三次,记m表示前两个球号码的平均数,记n表示前三个球号码的平均数,则m与n差的绝对值不超过0.5的概率是______.
正确答案
解析
简答题(综合题)
本大题共80分。简答应写出文字说明、证明过程或演算步骤。
1
题型:简答题
|
分值: 12分
某工厂进行生产线智能化升级改造,升级改造后,从该工厂甲、乙两个车间的产品中随机抽取150件进行检验,数据如下:
(1)填写如下列联表:
能否有95%的把握认为甲、乙两车间产品的优级品率存在差异?能否有99%的把握认为甲、乙两车间产品的估级品率存在差异?
正确答案
略
解析
1
题型:简答题
|
分值: 12分
正确答案
解析
1
题型:简答题
|
分值: 12分
(12分)
正确答案
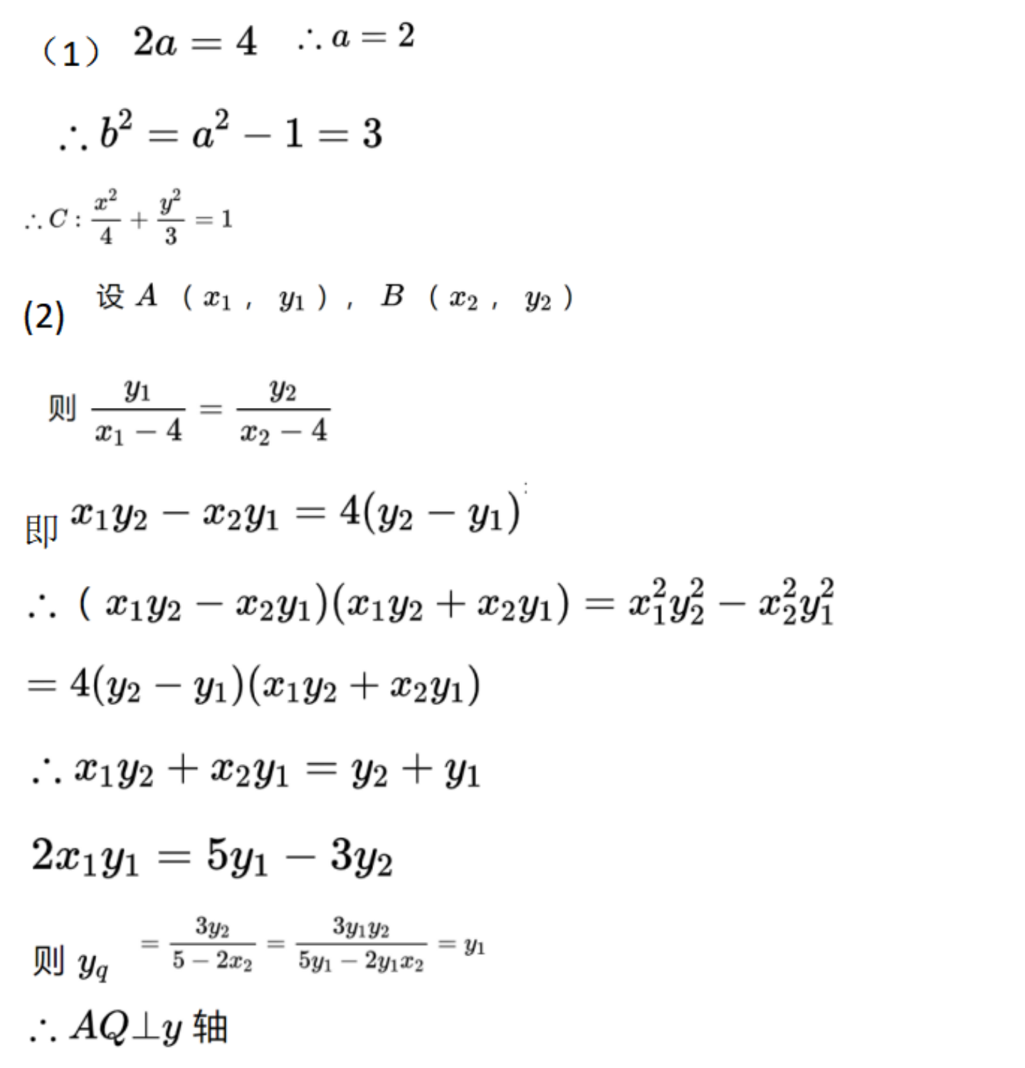
(1)略(2)
解析
1
题型:简答题
|
分值: 12分
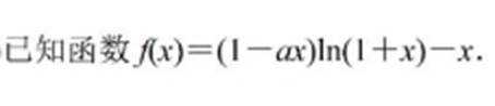
正确答案
(1)当a=-2时,f(x)最小值(0)=0,无极大值
(2)
解析
1
题型:简答题
|
分值: 12分
正确答案
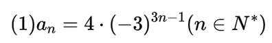
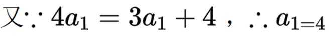
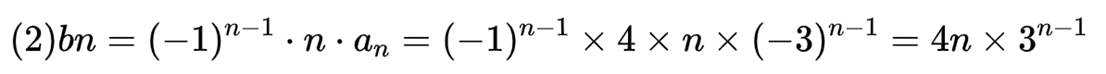
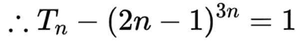
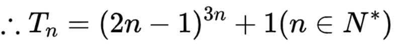
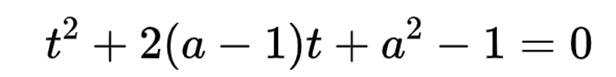
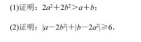
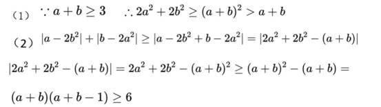
(1)
解析
1
题型:简答题
|
分值: 10分
选考题:
正确答案
(1)
解析
1
题型:简答题
|
分值: 10分
选考题:
正确答案
(1)略(2)略


























































































