- 真题试卷
- 模拟试卷
- 预测试卷
4.将函数f(x)=sin x+cos x的图象向左平移φ(φ>0)个单位长度,所得图象关于原点对称,则φ的最小值为( )
正确答案
解析
解析已在路上飞奔,马上就到!
知识点
7.已知边长为1的正方形ABCD位于第一象限,且顶点A、D分别在x、y的正半轴上(含原点)滑动,则·的最大值是( )
正确答案
解析
解析已在路上飞奔,马上就到!
知识点
8.一个四面体的三视图如图所示,则该四面体的表面积为( )
正确答案
解析
解析已在路上飞奔,马上就到!
知识点
3.在如下图所示的程序框图中输入10,结果会输出( )
正确答案
解析
解析已在路上飞奔,马上就到!
知识点
5.若实数x,y满足条件,则z=x+3y的最大值为( )
正确答案
解析
解析已在路上飞奔,马上就到!
知识点
6.不全相等的五个数a、b、c

正确答案
解析
解析已在路上飞奔,马上就到!
知识点
10.已知集合A=

正确答案
解析
解析已在路上飞奔,马上就到!
知识点
1.已知集合M={x2-2x<0},N={x<a},若M⊆N,则实数a的取值范围是( )
正确答案
解析
解析已在路上飞奔,马上就到!
知识点
9.若曲线C1:x2+y2-2x=0与曲线C2:y(y-mx-m)=0有4个不同的交点,则实数m的取值范围是( )
正确答案
解析
解析已在路上飞奔,马上就到!
知识点
2.下列四个命题
p1:∃x∈(0,+∞),<;
p2:∃x∈(0,1),logx>logx;
p3:∀x∈(0,+∞),>logx ;
p4:∀x∈,<logx,
其中的真命题是( )
正确答案
解析
解析已在路上飞奔,马上就到!
知识点
15.两千多年前,古希腊毕达哥拉斯学派的数学家曾经在沙滩上研究数学问题,他们在沙滩上画点或用小石子来表示数,按照点或小石子能排列的形状对数进行分类,图中的实心点的个数1、5、12、22、…,被称为五角形数,其中第1个五角形数记作a1=1,第2个五角形数记作a2=5,第3个五角形数记作a3=12,第4个五角形数记作a4=22,……,若按此规律继续下去,则a5=( ),若an=145,则n=( ).
正确答案
35 ; 10
解析
解析已在路上飞奔,马上就到!
知识点
12.如图,椭圆

正确答案
解析
解析已在路上飞奔,马上就到!
知识点
11.在△ABC中
正确答案
解析
解析已在路上飞奔,马上就到!
知识点
13.若
正确答案
解析
解析已在路上飞奔,马上就到!
知识点
14.在函数f(x)=aln x+(x+1)2(x>0)的图象上任取两个不同的点P(x1,y1)、Q(x2,y2),总能使得f(x1)-f(x2)≥4(x1-x2),则实数a的取值范围为( ).
正确答案
解析
解析已在路上飞奔,马上就到!
知识点
17.某电视台拟举行由选手报名参加的比赛类型的娱乐节目,选手进入正赛前需通过海选,参加海选的选手可以参加A、B、C三个测试项目,只需通过一项测试即可停止测试,通过海选.若通过海选的人数超过预定正赛参赛人数,则优先考虑参加海选测试次数少的选手进入正赛.甲选手通过项目A、B、C测试的概率为分别为、、, 且通过各次测试的事件相互独立.
(1)若甲选手先测试A项目,再测试B项目,后测试C项目,求他通过海选的概率;若改变测试顺序,对他通过海选的概率是否有影响?说明理由;
(2)若甲选手按某种顺序参加海选测试,第一项能通过的概率为p1,第二项能通过的概率为p2
正确答案
解析
解析已在路上飞奔,马上就到!
知识点
21.已知函数
(1)当a=0时,求f(x)的单调区间;
(2)求证:对任意实数a<0,有
正确答案
解析
解析已在路上飞奔,马上就到!
知识点
18.如图,△ABC的外接圆⊙O的半径为5,CE垂直于⊙O所在的平面,BD∥CE,CE=4,BC=6,且BD=1,cos∠ADB=
(1)求证:平面AEC⊥平面BCED;
(2)试问线段DE上是否存在点M,使得直线AM与平面ACE所成角的正弦值为?若存在,确定点M的位置;若不存在,请说明理由.
正确答案
解析
解析已在路上飞奔,马上就到!
知识点
16.设
(1)求f(x)的最小正周期;
(2)若函数y=f(x)与y=g(x)的图象关于直线x=1对称,求当
正确答案
解析
解析已在路上飞奔,马上就到!
知识点
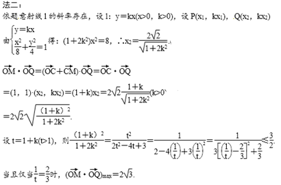
20.已知圆C:(x-1)2+(y-1)2=2经过椭圆
(1)求椭圆Γ的方程;
(2)如图,过原点O的射线l与椭圆Γ在第一象限的交点为Q,与圆C的交点为P,M为OP的中点, 求
正确答案
解析
解析已在路上飞奔,马上就到!
知识点
19.等比数列{an}中的前三项a1、a2、a3分别是下面数阵中第一、二、三行中的某三个数,且三个数不在同一列.
(1)求此数列{an}的通项公式;
(2)若数列{bn}满足
正确答案
解析
解析已在路上飞奔,马上就到!
































