- 真题试卷
- 模拟试卷
- 预测试卷
5. 某校一个课外学习小组为研究某作物种子的发芽率y和温度x(单位:

由此散点图,在10

正确答案
7. 设函数


正确答案
8. 设
正确答案
9.执行右面的程序框图,则输出的
正确答案
1.已知合集

正确答案
2.若
正确答案
3. 埃及胡夫金字塔是古代世界建筑奇迹之一,它的形状可视为一个正四棱锥,以该四棱锥的高为边长的正方形面积等于该四棱锥一个侧面三角形的面积,则其侧面三角形底边上的高与底面正方形的边长的比值为
正确答案
4. 设O为正方形ABCD的中心,在O, A ,B, C, D中任取3点,则取到的3点共线的概率为
正确答案
6. 已知圆
正确答案
10.设


正确答案
11. 设







正确答案
12. 已知









正确答案
14.设向量a=(1,-1),b=(m+1,2m-4),若a
正确答案
5
13. 若x,y满足约束条件
正确答案
1
15. 曲线
正确答案
y=2x
16. 数列


正确答案
7
17.(12分)
某厂接受了一项加工业务,加工出来的产品(单位:件)按标准分为A,B,C,D四个等级,加工业务约定:对于A级品、B级品、C级品,厂家每件分别收取加工费90元、50元、20元;对于D级品,厂家每件赔偿原料损失费50元,该厂有甲、乙两个分厂可承接加工业务,甲分厂加工成本费为25元/件,乙分厂加工成本费为20元/件,厂家为决定由哪个分厂承接加工业务,在两个分厂各试加工了100件这种产品,并统计了这些产品的等级,整理如下:
甲分厂产品等级的频数分布表
乙分厂产品等级的频数分布表
(1) 分别估计甲、乙两分厂加工出来的一件产品为A级品的概率;
(2) 分别求甲、乙两分厂加工出来的100件产品的平均利润,以平均利润
为依据,厂家应该选哪个分厂承接加工业务?
正确答案
18.(12分)




(1)若


(2)若

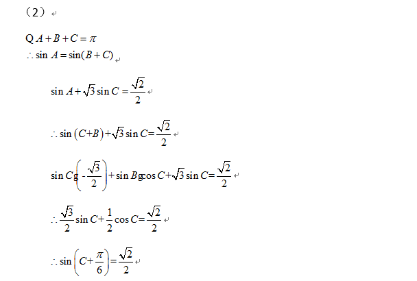
正确答案
解析
19. (12分)
如图,





(1)证明:平面

(2)设


正确答案
20.(12分)
已知函数
(1) 当a=1时,讨论
(2) 若

正确答案
(二)选考题:共10分,请考生在22、23题中任选一题作答,如果多做,则按所做的第一题计分。
22.[选修4-4:坐标系与参数方程](10分)
在直角坐标系






(1)当k=1时,
(2)当k=4时,求

23.[选修4—5:不等式选讲](10分)
已知函数


(1)画出y=
(2)求不等式

正确答案
正确答案
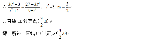
21.(12分)
已知A,B分别为椭圆E: 

(1) 求E的方程;
(2) 证明:直线CD过定点。







































































