- 真题试卷
- 模拟试卷
- 预测试卷
2.已知集合


正确答案
解析
解析已在路上飞奔,马上就到!
知识点
3.若执行下面的程序图的算法,则输出的
正确答案
解析
解析已在路上飞奔,马上就到!
知识点
4.若一个正三棱柱的正视图如图所示,则其侧视图的面积等于 ( )
正确答案
解析
解析已在路上飞奔,马上就到!
知识点
9.函数

①图象

②图象

③函数

④由

正确答案
解析
解析已在路上飞奔,马上就到!
知识点
11.过点








正确答案
解析
解析已在路上飞奔,马上就到!
知识点
1.已知复数


正确答案
解析
解析已在路上飞奔,马上就到!
知识点
5.若点


正确答案
解析
解析已在路上飞奔,马上就到!
知识点
6.







正确答案
解析
解析已在路上飞奔,马上就到!
知识点
8.中国女排战胜日本队的概率为

正确答案
解析
解析已在路上飞奔,马上就到!
知识点
7.在矩形ABCD中,





正确答案
解析
解析已在路上飞奔,马上就到!
知识点
12.已知定义在







正确答案
解析
解析已在路上飞奔,马上就到!
知识点
10.抛物线


正确答案
解析
解析已在路上飞奔,马上就到!
知识点
14.

正确答案
-10
解析
解析已在路上飞奔,马上就到!
知识点
16.正三棱锥







正确答案
解析
解析已在路上飞奔,马上就到!
知识点
15.在




正确答案
解析
解析已在路上飞奔,马上就到!
知识点
13.变量



正确答案
3
解析
解析已在路上飞奔,马上就到!
知识点
17. 已知数列


(Ⅰ)求证:数列
(Ⅱ)求数列
正确答案
解析
解析已在路上飞奔,马上就到!
知识点
18. 如图,四棱锥





(Ⅰ)证明:平面

(Ⅱ)若


正确答案
解析
解析已在路上飞奔,马上就到!
知识点
19.甲、乙两名同学在5次英语口语测试中的成绩统计如下面的茎叶图所示.
(Ⅰ)现要从中选派一人参加英语口语竞赛,从统计学角度,你认为派哪位学生参加更合适,请说明理由;
(Ⅱ)若将频率视为概率,对学生甲在今后的三次数学竞赛成绩进行预测,记这三次成绩中高于80分的次数为


正确答案
解析
解析已在路上飞奔,马上就到!
知识点
20.已知双曲线




(Ⅰ)求双曲线
(Ⅱ)










正确答案
解析
解析已在路上飞奔,马上就到!
知识点
选考题:请在22~24题中,选做其中的一题.
22.如图,已知







(Ⅰ)证明
(Ⅱ)求
23. 直角坐标系







(Ⅰ)求直线

(Ⅱ)若




24. 设函数
(Ⅰ)若

(Ⅱ)如果
正确答案
22.
23.
24.
解析
解析已在路上飞奔,马上就到!
知识点
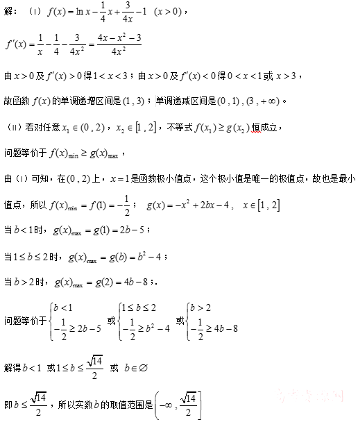
21.已知函数
(Ⅰ)求函数
(Ⅱ)设




正确答案
解析
解析已在路上飞奔,马上就到!













































