- 真题试卷
- 模拟试卷
- 预测试卷
10. 不等式
正确答案
解析
解析已在路上飞奔,马上就到!
知识点
12.设

正确答案
解析
解析已在路上飞奔,马上就到!
知识点
9. 函数
正确答案
解析
解析已在路上飞奔,马上就到!
知识点
11.如图,













正确答案
3
解析
解析已在路上飞奔,马上就到!
知识点
13.曲线


正确答案


解析
解析已在路上飞奔,马上就到!
知识点
14.已知函数


①


其中能使
正确答案
②
解析
解析已在路上飞奔,马上就到!
知识点
2. 设集合A={x|x-a|<1,x∈R},B={x|1<x<5,x∈R},若A∩B=∅,则实数a的取值范围是( )
正确答案
解析
解析已在路上飞奔,马上就到!
知识点
1.设x是实数,则“x>0”是“|x|>0”的( )
正确答案
解析
解析已在路上飞奔,马上就到!
知识点
6.若x0是方程
正确答案
解析
解析已在路上飞奔,马上就到!
知识点
7.对于函数:
①
②
③
判断如下三个命题的真假:
命题甲:
命题乙:


命题丙:

能使命题甲、乙、丙均为真的所有函数的序号是( )
正确答案
解析
解析已在路上飞奔,马上就到!
知识点
4.要得到函数

正确答案
解析
解析已在路上飞奔,马上就到!
知识点
8.已知实数




正确答案
解析
解析已在路上飞奔,马上就到!
知识点
3. 下列四个命题中,
①
②
③

④

正确的个数是( )
正确答案
解析
解析已在路上飞奔,马上就到!
知识点
5.已知数列







正确答案
解析
解析已在路上飞奔,马上就到!
知识点
15.已知函数
(Ⅰ)求
(Ⅱ)当


正确答案
(Ⅰ)因为
所以

(Ⅱ)因为

所以当



当



解析
解析已在路上飞奔,马上就到!
知识点
16.在






(I)求边
(II)求
正确答案
解析
解析已在路上飞奔,马上就到!
知识点
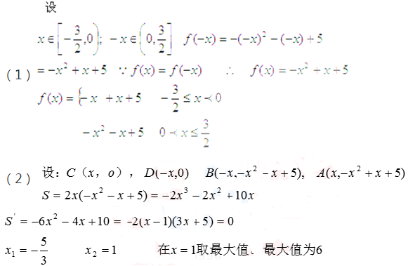
20.已知函数:



(1)求函数
(2)若矩形ABCD的顶点A,B在函数y=
正确答案
解析
解析已在路上飞奔,马上就到!
知识点
17.已知函数

(1) 求数列
(2) 令
正确答案
解析
解析已在路上飞奔,马上就到!
知识点
19. 设

(Ⅰ)若


(Ⅱ)求函数

正确答案
解析
解析已在路上飞奔,马上就到!
知识点
18.已知函数
(I)若曲线


(II)求函数
(III)当a=1,且
正确答案
解析
解析已在路上飞奔,马上就到!
























