- 真题试卷
- 模拟试卷
- 预测试卷
3.若

正确答案
解析
由题可知,
考查方向
本题主要考查定积分
解题思路
1、依次求出两个原函数;
2、代值计算,即可得到结果。
易错点
本题易在求原函数时发生错误。
知识点
4.如图,当输入

正确答案
解析
由题可知,当x=-5时,x=15+3=18,得x-y=18-15=3,x+y=18+15=33。B选项不正确,C选项不正确,D选项不正确,所以选A选项。
考查方向
本题主要考查程序
解题思路
1、按照程序要求,依次计算y;
2、利用已知条件判断终止时的结果,即可得到结果。
易错点
本题易在判断条件时发生错误。
知识点
9.不等式



正确答案
解析
2x^2-axy+y^2>=0对任意x∈[1,2],y∈[1,3]恒成立, 等价于:a<=2x/y+y/x ① 对任意x∈[1,2],y∈[1,3]恒成立, 设t=x/y,x∈[1,2],y∈[1,3],则t∈[1/3,2], ①变为a<=2t+1/t,记为f(t), t=1/√2时f(t)取最小值

考查方向
本题主要考查不等式的应用
解题思路
1、分离参数;
2、利用基本不等式求解,即可得到结果。B选项不正确,C选项不正确,D选项不正确,所以选A选项。
易错点
本题易在分离参数时发生错误。
知识点
10.过双曲线

正确答案
解析
由题可知,1<b/a<3, 则e2=1+b2/a2∈(2,10),则e∈
考查方向
本题主要考查直线与双曲线的位置关系
解题思路
1、表示直线方程;
2、利用双曲线的几何性质表示离心率e,即可得到结果。A选项不正确,B选项不正确,D选项不正确,所以选C选项。
易错点
本题易在表示直线方程时发生错误。
知识点
1.若纯虚数


正确答案
解析
由题可知:(1-i)bi=b+bi=1+ai,则b=a=1。A选项不正确,B选项不正确,C选项不正确,所以选D选项。
考查方向
本题主要考查复数运算
解题思路
1、设z=bi(b≠0);
2、表示两个复数相等,即可得到结果。
A选项不正确,B选项不正确,C选项不正确,所以选D选项。
易错点
本题易在表示复数相等时发生错误。
知识点
2.已知函数



正确答案
解析
由题可知:y=sin[w(x-




考查方向
本题主要考查三角函数的图像变换
解题思路
1、求出变换后的函数解析式;
2、表示对称性,即可得到结果。A选项不正确,B选项不正确,C选项不正确,所以选D选项。
易错点
本题易在表示图像变换时发生错误。
知识点
5.定义







正确答案
解析
由“均倒数”为

则
考查方向
本题主要考查数列的综合运算
解题思路
1、求出an;
2、求出bn,利用裂项相消法求和,即可得到结果。
易错点
本题易在求an时发生错误。
知识点
6.若关于

正确答案
解析
由图可知,当k=0或1时,刚好能构成等腰直角三角形,则面积为

考查方向
本题主要考查线性规划
解题思路
1、表示平面区域;2、求出区域面积,即可得到结果。B选项不正确,C选项不正确,D选项不正确,所以选A选项。
易错点
本题易在表示平面区域时发生错误。
知识点
7.如图,网格纸是边长为1的小正方形,在其上用粗线画出了某多面体的三视图,则该多面体的体积为( )
正确答案
解析
由图可知,此多面体是一个以4为高,以长和宽分别是6、2的矩形为底的四棱锥。则V=sh/3=16。A选项不正确,B选项不正确,D选项不正确,所以选C选项。
考查方向
本题主要考查三视图
解题思路
1、还原几何体;
2、求出体积,即可得到结果。A选项不正确,B选项不正确,D选项不正确,所以选C选项。
易错点
本题易在还原几何体时发生错误。
知识点
8.已知等差数列


正确答案
解析
由题得a8=C42=6,则
考查方向
本题主要考查数列及二项式定理
解题思路
1、求出Tk;
2、利用通项公式计算,即可得到结果。A选项不正确,B选项不正确,D选项不正确,所以选C选项。
易错点
本题易在求Tk时发生错误。
知识点
11.已知


正确答案
解析
设:


考查方向
本题主要考查平面向量
解题思路
1、在单位圆中表示出向量;
2、利用圆的性质求解,即可得到结果。A选项不正确,C选项不正确,D选项不正确,所以选B选项。
易错点
本题易在化简时发生错误。
知识点
12.已知函数


正确答案
解析
令2x=t,(t>0)则当a=0时,y=t,符合题意;当a<0时,函数图像为“对勾函数”,只有a>=1才符合题意;同理,当a>0时,只有当a<=时符合题意。A选项不正确,B选项不正确,D选项不正确,所以选C选项。
考查方向
本题主要考查函数的性质的综合应用
解题思路
1、对a分类讨论;
2、代入不同的a值,画出函数图像,即可得到结果。
A选项不正确,B选项不正确,D选项不正确,所以选C选项。
易错点
本题易利用指数函数图像时发生错误。
知识点
13.已知函数



正确答案
7
解析
由题可知:k=f’(2)=1,f(2)=6,所以
考查方向
本题主要考查了导数的几何意义
解题思路
本题考查导数的几何意义,解题思路如下:
1、利用导数的几何意义求出f’(2);
2、利用切线方程求解。
易错点
本题必须注意导数的几何意义
知识点
14.已知

正确答案
1
解析
由题可知,将展开的两式相加减,可求出tana/tanb=5,代入对数式得值为1.
考查方向
本题主要考查了两角和差公式及对数运算
解题思路
本题考查两角和差公式及对数运算,解题思路如下:
1、利用两角和差公式展开已知,两式相加减,求出正切值;
2、代入对数式求解。
易错点
本题必须注意两角和差公式
知识点
15.将一颗骰子投掷两次,第一次出现的点数记为








正确答案
解析
由题可知,P1=1/12,P2=8/9,代入圆的方程得m的取值范围是
考查方向
本题主要考查了概率及直线与圆的综合应用
解题思路
本题考查概率及直线与圆的综合应用,解题思路如下:
1、利用概率公式求出概率;
2、利用直线与圆的综合应用知识求解。
易错点
本题必须注意概率计算
知识点
16.已知





正确答案
10
解析
考查方向
本题主要考查了解三角形和平面向量及不等式
解题思路
本题考查解三角形和平面向量及不等式,解题思路如下:1、利用公式表示数量积;2、利用不等式求解。
易错点
本题必须注意数量积公式
知识点
17.在公比为




(Ⅰ)求
(Ⅱ)若函数








正确答案
(Ⅰ)
(Ⅱ)
解析
试题分析:本题属于数列和三角函数中的基本问题,题目的难度是逐渐由易到难,(1)直接按照步骤来求(2)要注意图像的应用.
(Ⅰ) 解:由题可知

故
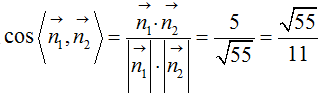
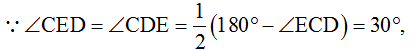
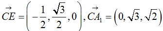
(Ⅱ)∵点

∴
又∵
如图,连接

又∵
∴
∴
考查方向
本题考查了数列与三角函数的知识,涉及到等比数列及三角函数的应用,是高考题中的高频考点.
解题思路
本题考查数列与三角函数的知识,解题步骤如下:
1、利用通项公式求解。
2、利用函数图像性质代入求解。
易错点
三角函数图像易错。
知识点
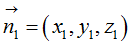
19.如图,四棱柱








(Ⅰ)证明:平面

(Ⅱ)若

正确答案
见解析
解析
试题分析:本题属于立体几何中的基本问题,题目的难度是逐渐由易到难.
(Ⅰ)依题意
∴

∵









(Ⅱ)连接


故以






设面


令



同理可求出面

故



考查方向
本题考查了立体几何中的面面垂直和二面角的问题.属于高考中的高频考点。
解题思路
本题考查立体几何,解题步骤如下:
1、转化为证明线面垂直。
2、建立空间直角坐标系,利用夹角的余弦公式求解。
易错点
1、第一问中的面面垂直的转化。
2、第二问中二面角求解时要建立适当的空间直角坐标系。
知识点
20.已知抛物线










(Ⅰ)证明:点

(Ⅱ)设


正确答案
见解析
解析
试题分析:本题属于圆锥曲线中的基本问题,题目的难度是逐渐由易到难,(1)直接按照步骤来求(2)要注意对参数的讨论.
(Ⅰ)由题可知
则可设直线


故

则直线

令



(Ⅱ)由(Ⅰ)可知



故
则



故直线




故可设圆心



由
得


所以圆

考查方向
本题考查了直线与圆锥曲线的位置关系及综合应用,属于高考中的高频考点.
解题思路
本题考查圆锥曲线与直线的位置关系,解题步骤如下:
1、利用e及对称性求a,b。
2、联立直线与椭圆方程求解。
易错点
第二问中表示直线斜率时容易出错。
知识点
18.2015年9月3日,抗战胜利70周年纪念活动在北京隆重举行,受到全国人民的瞩目。纪念活动包括举行纪念大会、阅兵式、招待会和文艺晚会等,据统计,抗战老兵由于身体原因,参加纪念大会、阅兵式、招待会这三个环节(可参加多个,也可都不参加)的情况及其概率如下表所示:
(Ⅰ)若从抗战老兵中随机抽取2人进行座谈,求这2人参加纪念活动的环节数不同的概率;
(Ⅱ)某医疗部门决定从这些抗战老兵中(其中参加纪念活动的环节数为3的抗战老兵数大于等于3)随机抽取3名进行体检,设随机抽取的这3名抗战老兵中参加三个环节的有

正确答案
见解析
解析
试题分析:本题属于概率中的基本问题,题目的难度是逐渐由易到难,(1)直接按照步骤来求(2)要注意对应取值的概率.
(Ⅰ)设“这2名抗战老兵参加纪念活动的环节数不同”为事件

根据题意可知
由对立事件的概率计算公式可得
故这2名抗战老兵参加纪念活动的环节数不同的概率为
(Ⅱ)根据题意可知随机变量


则随机变量
则数学期望
考查方向
本题考查了离散型随机变量的概率分布列和数学期望,涉及到概率计算,是高考题中的高频考点.
解题思路
本题考查离散型随机变量的概率分布列和数学期望,解题步骤如下:
1、利用概率公式求解。
2、利用离散型随机变量的概率分布列和数学期望公式求解。
易错点
概率计算易错。
知识点
21.已知函数




(Ⅰ)若


(Ⅱ)若


正确答案
见解析
解析
试题分析:本题属于导数应用中的基本问题,题目的难度是逐渐由易到难,(1)直接按照步骤来求;(2)要注意对参数的讨论.
(Ⅰ)由











(Ⅱ)由


所以

因此,对任意


由



因此,当








设





故


所以
因此,对任意

考查方向
本题考查了利用导数求参数的取值范围,分类讨论,讨论点大体可以分成以下几类:1、根据判别式讨论;2、根据二次函数的根的大小;3、定义域由限制时,根据定义域的隐含条件;4、求导形式复杂时取部分特别常常只需要转化为一个二次函数来讨论;5、多次求导求解等.
解题思路
本题考查导数的性质,解题步骤如下:
1、求导,然后解导数不等式。
2、对参数分类讨论证得结论。
易错点
第二问中的易丢对x的分类讨论。
知识点
22.选修4-1:几何证明选讲
如图,












(Ⅰ)求证:

(Ⅱ)若

正确答案
见解析.
解析
试题分析:本题属于平面几何中的基本问题,题目的难度是容易题。
(Ⅰ)连接

又




(Ⅱ)过




设

由


可得
考查方向
本题考查了平面几何的知识,主要涉及直线与圆的位置关系,三角形相似的考查.
解题思路
本题考查平面几何的知识,解题步骤如下:利用圆的相关定理证明;利用切割线定理和相交弦定理证明。
易错点
相关的定理容易混用。




























































































