- 真题试卷
- 模拟试卷
- 预测试卷
2.已知



正确答案
解析
解析已在路上飞奔,马上就到!
知识点
5.某几何体是由直三棱柱与圆锥的组合体,其直观图和三视图如图所示,正视图为正方形,其中俯视图中椭圆的离心率为( )
正确答案
解析
解析已在路上飞奔,马上就到!
知识点
6.在




正确答案
解析
解析已在路上飞奔,马上就到!
知识点
7.设等比数列{an}的前n项和为Sn,若S10:S5=1:2,则
正确答案
解析
解析已在路上飞奔,马上就到!
知识点
8.已知x,y满足则
正确答案
解析
解析已在路上飞奔,马上就到!
知识点
3. 若


正确答案
解析
解析已在路上飞奔,马上就到!
知识点
1.已知

正确答案
解析
解析已在路上飞奔,马上就到!
知识点
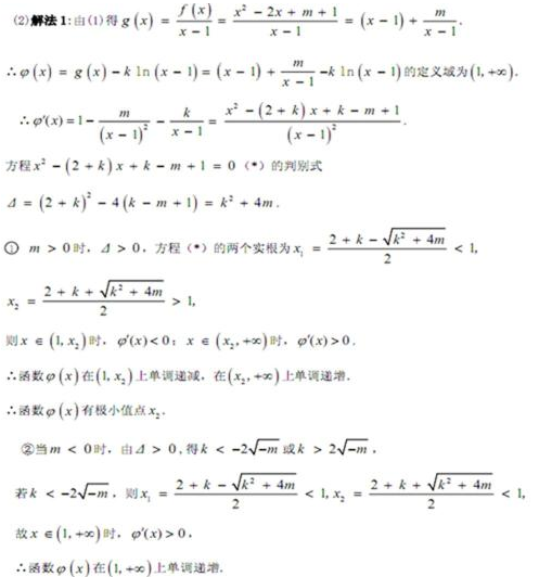
4.已知函数 



正确答案
解析
解析已在路上飞奔,马上就到!
知识点
9.已知椭圆C:





正确答案
解析
解析已在路上飞奔,马上就到!
知识点
10.已知










正确答案
解析
解析已在路上飞奔,马上就到!
知识点
14.过点


正确答案
32
解析
解析已在路上飞奔,马上就到!
知识点
15.已知两个正数







正确答案
13
解析
解析已在路上飞奔,马上就到!
知识点
11.若某程序框图如图所示,则该程序运行后输出的值为
正确答案
解析
解析已在路上飞奔,马上就到!
知识点
12.若非零向量




正确答案
2
解析
解析已在路上飞奔,马上就到!
知识点
13.已知函数


正确答案
解析
解析已在路上飞奔,马上就到!
知识点
16.一个袋中装有大小相同的黑球和白球共9个,从中任取2个球,记随机变量

(Ⅰ)求袋中白球的个数;
(Ⅱ)求随机变量
正确答案
解析
解析已在路上飞奔,马上就到!
知识点
19.已知数列



(Ⅰ)求
(Ⅱ)设



正确答案
解析
解析已在路上飞奔,马上就到!
知识点
21.已知二次函数





(1)求
(2)

(3)若


正确答案
解析
解析已在路上飞奔,马上就到!
知识点
18.如图,在四棱锥





(Ⅰ)求证:平面

(Ⅱ)求二面角
正确答案
解析
解析已在路上飞奔,马上就到!
知识点
20.已知椭圆




(Ⅰ)求椭圆
(Ⅱ)设







正确答案
解析
解析已在路上飞奔,马上就到!
知识点
17.已知函数
(1)若

(2)设





正确答案
解析
解析已在路上飞奔,马上就到!













































